电脑桌面
添加蜗牛文库到电脑桌面
安装后可以在桌面快捷访问

高中数学人教A版必修5《2.4.1等比数列》课件.pptVIP免费

高中数学人教A版必修5《2.4.1等比数列》课件.ppt高中数学人教A版必修5《2.4.1等比数列》课件.ppt高中数学人教A版必修5《2.4.1等比数列》课件.ppt高中数学人教A版必修5《2.4.1等比数列》课件.ppt高中数学人教A版必修5《2.4.1等比数列》课件.ppt
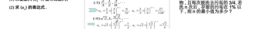
等比数列1,3,5,7,9…;(1)3,0,-3,-6,…;(2)(3).,,,,104103102101忆一忆什么是数列?什么是等差数列?一般地一般地,如果一个数列从第如果一个数列从第22项起,每一项与前项起,每一项与前一项的差等于一项的差等于同一个常数同一个常数,那么这个数列叫做,那么这个数列叫做等差数等差数列列。这个常数叫做等差数列的。这个常数叫做等差数列的公差公差,用,用dd表示。表示。国际象棋起源于印度,关于国际象棋有这样一个传说,国王要奖励国际象棋的发明者,问他有什么要求,发明者说:“请在棋盘上的第一个格子上放1粒麦子,第二个格子上放2粒麦子,第三个格子上放4粒麦子,第四个格子上放8粒麦子,依次类推,即每一个格子中放的麦粒都必须是前一个格子麦粒数目的2倍,直到第64个格子放满为止。”国王慷慨地答应了他。你认为国王有能力满足上述要求吗?左图为国际象棋的棋盘,棋盘有8*8=64格1234567812345678上述棋盘中各格子里的麦粒数按先后次序排成一列数:236312222,,,,,曰:“一尺之棰,日取其半,万世不竭.”庄子意思:“一尺长的木棒,每日取其一半,永远也取不完”。1111124816,,,,,…如果将“一尺之棰”视为一份,则每日剩下的部分依次为:如果将“一尺之棰”视为一份,则每日剩下的部分依次为:一种计算机病毒可以查找计算机中的地址本,通过邮件进行传播。如果把病毒制造者发送病毒称为第一轮,邮件接收者发送病毒称为第二轮,依此类推。假设每一轮每一台计算机都感染20台计算机,那么在不重复的情况下,这种病毒每一轮感染的计算机数构成的数列是:1,20,202,203,…比一比共同特点:从第2项起,每一项与前一项的比都等于同一常数。(1)(2)(3)63322,,2,2,2,1……,161,81,41,21……9,92,93,94,95,96,97(4)3220,20,20,1以上4个数列有什么共同特点?等比数列定义一般的,如果一个数列从第2项起,每一项与它前一项的比等于同一个常数,这个数列就叫做等比数列。这个常数叫做等比数列的公比,公比通常用字母q表示。(q≠0))2(1nqaann或)(*1Nnqaann其定义式为:注意:1.公比是等比数列从第2项起,每一项与前一项的比,不能颠倒。2.对于一个给定的等比数列,它的公比是同一个常数。思考:(1)等比数列中有为0的项吗?(2)公比为1的数列是什么数列?(3)既是等差数列又是等比数列的数列存在吗?(4)常数列都是等比数列吗?判定下列数列是否可能是等比数列?若是,说明公比;若不是,说出理由.1、263,…...

1、当您付费下载文档后,您只拥有了使用权限,并不意味着购买了版权,文档只能用于自身使用,不得用于其他商业用途(如 [转卖]进行直接盈利或[编辑后售卖]进行间接盈利)。
2、本站所有内容均由合作方或网友上传,本站不对文档的完整性、权威性及其观点立场正确性做任何保证或承诺!文档内容仅供研究参考,付费前请自行鉴别。
3、如文档内容存在违规,或者侵犯商业秘密、侵犯著作权等,请点击“违规举报”。

碎片内容

蜗牛文库的最新文档

二年级数学下册其中检测卷二年级数学下册其中检测卷附答案#期中测试卷.pdf
10.00金币
0下载
二年级数学下册期末质检卷(苏教版)二年级数学下册期末质检卷(苏教版)#期末复习 #期末测试卷 #二年级数学 #二年级数学下册#关注我持续更新小学知识.pdf
10.00金币
0下载
二年级数学下册期末混合运算专项练习二年级数学下册期末混合运算专项练习#二年级#二年级数学下册#关注我持续更新小学知识 #知识分享 #家长收藏孩子受益.pdf
10.00金币
1下载
二年级数学下册年月日三类周期问题解题方法二年级数学下册年月日三类周期问题解题方法#二年级#二年级数学下册#知识分享 #关注我持续更新小学知识 #家长收藏孩子受益.pdf
10.00金币
0下载
二年级数学下册解决问题专项训练二年级数学下册解决问题专项训练#专项训练#解决问题#二年级#二年级数学下册#知识分享.pdf
10.00金币
1下载
二年级数学下册还原问题二年级数学下册还原问题#二年级#二年级数学#关注我持续更新小学知识 #知识分享 #家长收藏孩子受益.pdf
10.00金币
1下载
二年级数学下册第六单元考试卷家长打印出来给孩子测试测试争取拿到高分!#小学二年级试卷分享 #二年级第六单考试数学 #第六单考试#二年级数学下册.pdf
10.00金币
0下载
二年级数学下册必背顺口溜口诀汇总二年级数学下册必背顺口溜口诀汇总#二年级#二年级数学下册 #知识分享 #家长收藏孩子受益 #关注我持续更新小学知识.pdf
10.00金币
0下载
二年级数学下册《重点难点思维题》两大问题解决技巧和方法巧算星期几解决周期问题还原问题强化思维训练老师精心整理家长可以打印出来给孩子练习#家长收藏孩子受益 #学霸秘籍 #思维训练 #二年级 #知识点总结.pdf
10.00金币
0下载
二年级数学下册 必背公式大全寒假提前背一背开学更轻松#二年级 #二年级数学 #二年级数学下册 #寒假充电计划 #公式.pdf
10.00金币
0下载
蜗牛文库+ 关注
实名认证
内容提供者

提供各种专业文档内容

确认删除?
QQ
  • QQ点击这里给我发消息
微信客服
  • 微信客服
回到顶部