电脑桌面
添加蜗牛文库到电脑桌面
安装后可以在桌面快捷访问

第4章4.1.pptVIP免费

第4章4.1.ppt第4章4.1.ppt第4章4.1.ppt第4章4.1.ppt第4章4.1.ppt
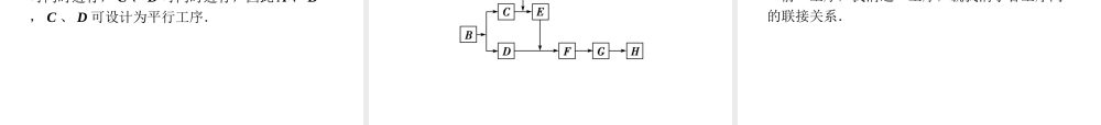
4.1流程图学习目标1.通过具体实例,进一步认识程序框图.2.了解工序流程图.3.会画简单实际问题的流程图,体会流程图在解决实际问题中的作用.课前自主学案温故夯基程序框图又称流程图,是一种用程序框、流程线及文字说明来表示算法的图形.1.流程图的概念由一些________和________构成的图示称为______.流程图常常用来表示一些动态过程,通常会有一个“起点”,一个或多个“____”.流程图可以直观、明确地表示动态过程从开始到结束的全部步骤.知新益能图形符号文字说明流程图终点2.常用的流程图(1)程序框图是流程图的一种,是____步骤的直观图示.算法的输入、____、条件、____等基本单元构成了程序框图的基本要素,基本要素之间的关系由______来建立.(2)用于描述工业生产流程的流程图通常称为__________.算法输出循环流程线工序流程图(3)流程图一般要按照从左到右、________的顺序来画.在实际问题中,流程图通常用来描述一个______的活动,活动的每一个明确的步骤构成流程图的一个________,基本单元之间通过______产生联系.基本单元中的内容要根据需要确定,可以在基本单元中具体地说明,也可以为基本单元设置若干______.从上到下过程性基本单元流程线子单元程序框图和流程图有何区别与联系?提示:程序框图是流程图的一种,程序框图比一般的流程图更规范和标准.问题探究程序框图要基于它的算法,使用标准的框图符号;框图一般按从上到下,从左到右的方向画;除判断框外,大多数程序框图的符号只有一个进入点和一个退出点,而判断框是具有超过一个退出点的唯一符号.画程序框图考点突破课堂互动讲练在国内寄平信,每封信的质量x(克)不超过60(克)时的邮费y(分)的标准为y=80x∈0,20]160x∈20,40]240x∈40,60].试画出计算邮费的程序框图.例1【思路点拨】输入x后,分别判断出x∈(0,20]或x∈(20,40]或x∈(40,60],来输出y=80或y=160或y=240.【解】程序框图如下:【思维总结】判断框的两个出口要注明“是”或“否”.互动探究1改变程序框图:当信的质量大于60克时,给出提示:“信已超重”!解:在判断框“――→是”后加一“判断执行框”,其程序框图如图所示:变式训练2求两底面半径为1和4且高为4的圆台的表面积及体积.写出该问题的一个算法,并画出程序框图.解:算法步骤如下:第一步r1=1,r2=4,h=4.第二步计算l=r2-r12+h2.第三步计算S1=πr21,S2=πr22,S3=π(r1+r2)l.第四步计算S=S1+...

1、当您付费下载文档后,您只拥有了使用权限,并不意味着购买了版权,文档只能用于自身使用,不得用于其他商业用途(如 [转卖]进行直接盈利或[编辑后售卖]进行间接盈利)。
2、本站所有内容均由合作方或网友上传,本站不对文档的完整性、权威性及其观点立场正确性做任何保证或承诺!文档内容仅供研究参考,付费前请自行鉴别。
3、如文档内容存在违规,或者侵犯商业秘密、侵犯著作权等,请点击“违规举报”。

碎片内容

蜗牛文库的最新文档

二年级数学下册其中检测卷二年级数学下册其中检测卷附答案#期中测试卷.pdf
10.00金币
0下载
二年级数学下册期末质检卷(苏教版)二年级数学下册期末质检卷(苏教版)#期末复习 #期末测试卷 #二年级数学 #二年级数学下册#关注我持续更新小学知识.pdf
10.00金币
0下载
二年级数学下册期末混合运算专项练习二年级数学下册期末混合运算专项练习#二年级#二年级数学下册#关注我持续更新小学知识 #知识分享 #家长收藏孩子受益.pdf
10.00金币
1下载
二年级数学下册年月日三类周期问题解题方法二年级数学下册年月日三类周期问题解题方法#二年级#二年级数学下册#知识分享 #关注我持续更新小学知识 #家长收藏孩子受益.pdf
10.00金币
0下载
二年级数学下册解决问题专项训练二年级数学下册解决问题专项训练#专项训练#解决问题#二年级#二年级数学下册#知识分享.pdf
10.00金币
1下载
二年级数学下册还原问题二年级数学下册还原问题#二年级#二年级数学#关注我持续更新小学知识 #知识分享 #家长收藏孩子受益.pdf
10.00金币
1下载
二年级数学下册第六单元考试卷家长打印出来给孩子测试测试争取拿到高分!#小学二年级试卷分享 #二年级第六单考试数学 #第六单考试#二年级数学下册.pdf
10.00金币
0下载
二年级数学下册必背顺口溜口诀汇总二年级数学下册必背顺口溜口诀汇总#二年级#二年级数学下册 #知识分享 #家长收藏孩子受益 #关注我持续更新小学知识.pdf
10.00金币
0下载
二年级数学下册《重点难点思维题》两大问题解决技巧和方法巧算星期几解决周期问题还原问题强化思维训练老师精心整理家长可以打印出来给孩子练习#家长收藏孩子受益 #学霸秘籍 #思维训练 #二年级 #知识点总结.pdf
10.00金币
0下载
二年级数学下册 必背公式大全寒假提前背一背开学更轻松#二年级 #二年级数学 #二年级数学下册 #寒假充电计划 #公式.pdf
10.00金币
0下载
蜗牛文库+ 关注
实名认证
内容提供者

提供各种专业文档内容

确认删除?
QQ
  • QQ点击这里给我发消息
微信客服
  • 微信客服
回到顶部