电脑桌面
添加蜗牛文库到电脑桌面
安装后可以在桌面快捷访问

黄帝内经 素问 五运六气 总论总表.pdfVIP免费

黄帝内经 素问 五运六气 总论总表.pdf_第1页
黄帝内经 素问 五运六气 总论总表.pdf_第2页
黄帝内经 素问 五运六气 总论总表.pdf_第3页
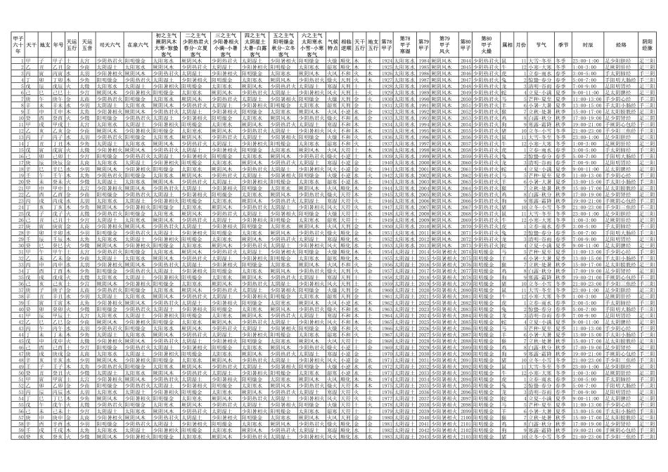
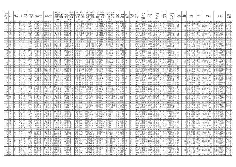
甲子六十年天干地支年号天运五行天运五音司天六气在泉六气初之主气厥阴风木大寒-惊蛰客气二之主气少阴热君火春分-立夏客气三之主气少阳暑相火小满-小暑客气四之主气太阴湿土大暑-白露客气五之主气阳明燥金秋分-立冬客气六之主气太阳寒水小雪-小寒客气气候特点相临逆顺天干五行地支五行第78甲子第78甲子寒湿第79甲子第79甲子风火第80甲子第80甲子火燥属相月份节气季节时辰经络阴阳经脉1甲子甲子土太宫少阴热君火阳明燥金太阳寒水厥阴风木少阴热君火太阴湿土少阳暑相火阳明燥金火燥顺化木水1924太阳寒水1984厥阴风木2044少阴热君火鼠11大雪-冬至冬季23:00-1:00足少阳胆经足三阳2乙丑乙丑金少商太阴湿土太阳寒水厥阴风木少阴热君火太阴湿土少阳暑相火阳明燥金太阳寒水湿寒顺化木土1925太阳寒水1985厥阴风木2045少阴热君火牛12小寒-大寒冬季1:00-3:00足厥阴肝经足三阴3丙寅丙寅水太羽少阳暑相火厥阴风木少阴热君火太阴湿土少阳暑相火阳明燥金太阳寒水厥阴风木火风不和火木1926太阳寒水1986厥阴风木2046少阴热君火虎1立春-雨水春季3:00-5:00手太阴肺经手三阴4丁卯丁卯木少角阳明燥金少阴热君火太阴湿土少阳暑相火阳明燥金太阳寒水厥阴风木少阴热君火燥火天刑火木1927太阳寒水1987厥阴风木2047少阴热君火兔2惊蛰-春分春季5:00-7:00手阳明大肠经手三阳5戊辰戊辰火太徵太阳寒水太阴湿土少阳暑相火阳明燥金太阳寒水厥阴风木少阴热君火太阴湿土寒湿天刑土土1928太阳寒水1988厥阴风木2048少阴热君火龙3清明-谷雨春季7:00-9:00足阳明胃经足三阳6己巳己巳土少宫厥阴风木少阳暑相火阳明燥金太阳寒水厥阴风木少阴热君火太阴湿土少阳暑相火风火天刑土火1929太阳寒水1989厥阴风木2049少阴热君火蛇4立夏-小满夏季9:00-11:00足太阴脾经足三阴7庚午庚午金太商少阴热君火阳明燥金太阳寒水厥阴风木少阴热君火太阴湿土少阳暑相火阳明燥金火燥天刑金火1930太阳寒水1990厥阴风木2050少阴热君火马5芒种-夏至夏季11:00-13:00手少阴心经手三阴8辛未辛未水少羽太阴湿土太阳寒水厥阴风木少阴热君火太阴湿土少阳暑相火阳明燥金太阳寒水湿寒天刑金土1931太阳寒水1991厥阴风木2051少阴热君火羊6小暑-大暑夏季13:00-15:00手太阳小肠经手三阳9壬申壬申木太角少阳暑相火厥阴风木少阴热君火太阴湿土少阳暑相火阳明燥金太阳寒水厥阴风木火风小逆水金1932太阳寒水1992厥阴风木2052少阴热君火猴7立秋-处暑秋季15:00-17:00足太阳膀胱经足三阳10癸酉癸酉火少徵阳明燥金少阴热君火太阴湿土少阳...

1、当您付费下载文档后,您只拥有了使用权限,并不意味着购买了版权,文档只能用于自身使用,不得用于其他商业用途(如 [转卖]进行直接盈利或[编辑后售卖]进行间接盈利)。
2、本站所有内容均由合作方或网友上传,本站不对文档的完整性、权威性及其观点立场正确性做任何保证或承诺!文档内容仅供研究参考,付费前请自行鉴别。
3、如文档内容存在违规,或者侵犯商业秘密、侵犯著作权等,请点击“违规举报”。

碎片内容

蜗牛文库的最新文档

二年级数学下册其中检测卷二年级数学下册其中检测卷附答案#期中测试卷.pdf
10.00金币
0下载
二年级数学下册期末质检卷(苏教版)二年级数学下册期末质检卷(苏教版)#期末复习 #期末测试卷 #二年级数学 #二年级数学下册#关注我持续更新小学知识.pdf
10.00金币
0下载
二年级数学下册期末混合运算专项练习二年级数学下册期末混合运算专项练习#二年级#二年级数学下册#关注我持续更新小学知识 #知识分享 #家长收藏孩子受益.pdf
10.00金币
1下载
二年级数学下册年月日三类周期问题解题方法二年级数学下册年月日三类周期问题解题方法#二年级#二年级数学下册#知识分享 #关注我持续更新小学知识 #家长收藏孩子受益.pdf
10.00金币
0下载
二年级数学下册解决问题专项训练二年级数学下册解决问题专项训练#专项训练#解决问题#二年级#二年级数学下册#知识分享.pdf
10.00金币
1下载
二年级数学下册还原问题二年级数学下册还原问题#二年级#二年级数学#关注我持续更新小学知识 #知识分享 #家长收藏孩子受益.pdf
10.00金币
1下载
二年级数学下册第六单元考试卷家长打印出来给孩子测试测试争取拿到高分!#小学二年级试卷分享 #二年级第六单考试数学 #第六单考试#二年级数学下册.pdf
10.00金币
0下载
二年级数学下册必背顺口溜口诀汇总二年级数学下册必背顺口溜口诀汇总#二年级#二年级数学下册 #知识分享 #家长收藏孩子受益 #关注我持续更新小学知识.pdf
10.00金币
0下载
二年级数学下册《重点难点思维题》两大问题解决技巧和方法巧算星期几解决周期问题还原问题强化思维训练老师精心整理家长可以打印出来给孩子练习#家长收藏孩子受益 #学霸秘籍 #思维训练 #二年级 #知识点总结.pdf
10.00金币
0下载
二年级数学下册 必背公式大全寒假提前背一背开学更轻松#二年级 #二年级数学 #二年级数学下册 #寒假充电计划 #公式.pdf
10.00金币
0下载
蜗牛文库+ 关注
实名认证
内容提供者

提供各种专业文档内容

确认删除?
QQ
  • QQ点击这里给我发消息
微信客服
  • 微信客服
回到顶部