电脑桌面
添加蜗牛文库到电脑桌面
安装后可以在桌面快捷访问

第15章《整式乘除与因式分解》同步学习检测.docVIP免费

第15章《整式乘除与因式分解》同步学习检测.doc_第1页
第15章《整式乘除与因式分解》同步学习检测.doc_第2页
第15章《整式乘除与因式分解》同步学习检测.doc_第3页
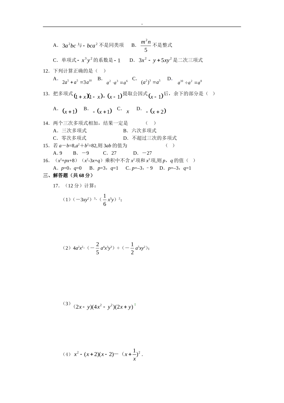
-第15章《整式乘除与因式分解》同步学习检测(整章测试)(时间90分钟满分100分)班级学号姓名得分一、填空题(每题2分,共20分)1.当m=时,2312mxy是六次单项式.2.0(3)=,()7()71423mmmm=.3.单项式213ababxy-与43xy是同类项,则2ab的值为.4.在括号中填入适当的数或式子:87()()()xyyx=7()()xy.5.三角形的三边分别为a、b、c,若a长为(3)xycm,b比a长2xcm,c比b的23还多2xcm,三角形的周长为16cm,则b边的长是cm.6.在半径为12.75cm的圆形中,挖去半径为为7.25cm的小圆形,则剩下的面积为____2cm(结果保留).7.写出一个只含一个未知数x的二次三项式,它的二次项系数是1,常数项是-4,并且能分解因式,则这个二次三项式为__________________________.8.利用图形中面积的等量关系可以得到某些数学公式.例如,根据图甲,我们可以得到两数和的平方公式:222()2abaabb,根据图乙能得到的数学公式是.9.已知522ba,223232abab=-48,则ab=________.10.观察下列等式:第一行3=4-1第二行5=9-4第三行7=16-9第四行9=25-16……按照上述规律,第n行的等式为____________.二、选择题(每题2分,共12分)11.下列判断中正确的是().aaaabbbb甲乙(第8题)-A.bca23与2bca不是同类项B.52nm不是整式C.单项式23yx的系数是1D.2253xyyx是二次三项式12.下列计算正确的是()A.105532aaaB.632aaaC.532)(aaD.8210aaa13.把多项式111xxx提取公因式1x后,余下的部分是()A.1xB.1xC.xD.2x14.两个三次多项式相加,结果一定是()A.三次多项式B.六次多项式C.零次多项式D.不超过三次的多项式15.若a-b=8,a2+b2=82,则3ab的值为()A.9B.-9C.27D.-2716.(x2+px+8)(x2-3x+q)乘积中不含x2项和x3项,则p,q的值()A.p=0,q=0B.p=3,q=1C.p=–3,–9D.p=–3,q=1三、解答题(共68分)17.(12分)计算:(1)(-3xy2)3·(61x3y)2;(2)4a2x2·(-52a4x3y3)÷(-21a5xy2);(3)222)(4)(2)xyxyxy(;(4)221(2)(2))xxxxx-(.-18.(12分)因式分解:(1)3123xx;(2)2222)1(2axxa;(3)xyyx2122;(4))()3()3)((22abbababa.19.(4分)解方程:41)8)(12()52)(3(xxxx.20.(4分)长方形纸片的长是15...

1、当您付费下载文档后,您只拥有了使用权限,并不意味着购买了版权,文档只能用于自身使用,不得用于其他商业用途(如 [转卖]进行直接盈利或[编辑后售卖]进行间接盈利)。
2、本站所有内容均由合作方或网友上传,本站不对文档的完整性、权威性及其观点立场正确性做任何保证或承诺!文档内容仅供研究参考,付费前请自行鉴别。
3、如文档内容存在违规,或者侵犯商业秘密、侵犯著作权等,请点击“违规举报”。

碎片内容

蜗牛文库的最新文档

二年级数学下册其中检测卷二年级数学下册其中检测卷附答案#期中测试卷.pdf
10.00金币
0下载
二年级数学下册期末质检卷(苏教版)二年级数学下册期末质检卷(苏教版)#期末复习 #期末测试卷 #二年级数学 #二年级数学下册#关注我持续更新小学知识.pdf
10.00金币
0下载
二年级数学下册期末混合运算专项练习二年级数学下册期末混合运算专项练习#二年级#二年级数学下册#关注我持续更新小学知识 #知识分享 #家长收藏孩子受益.pdf
10.00金币
1下载
二年级数学下册年月日三类周期问题解题方法二年级数学下册年月日三类周期问题解题方法#二年级#二年级数学下册#知识分享 #关注我持续更新小学知识 #家长收藏孩子受益.pdf
10.00金币
0下载
二年级数学下册解决问题专项训练二年级数学下册解决问题专项训练#专项训练#解决问题#二年级#二年级数学下册#知识分享.pdf
10.00金币
1下载
二年级数学下册还原问题二年级数学下册还原问题#二年级#二年级数学#关注我持续更新小学知识 #知识分享 #家长收藏孩子受益.pdf
10.00金币
1下载
二年级数学下册第六单元考试卷家长打印出来给孩子测试测试争取拿到高分!#小学二年级试卷分享 #二年级第六单考试数学 #第六单考试#二年级数学下册.pdf
10.00金币
0下载
二年级数学下册必背顺口溜口诀汇总二年级数学下册必背顺口溜口诀汇总#二年级#二年级数学下册 #知识分享 #家长收藏孩子受益 #关注我持续更新小学知识.pdf
10.00金币
0下载
二年级数学下册《重点难点思维题》两大问题解决技巧和方法巧算星期几解决周期问题还原问题强化思维训练老师精心整理家长可以打印出来给孩子练习#家长收藏孩子受益 #学霸秘籍 #思维训练 #二年级 #知识点总结.pdf
10.00金币
0下载
二年级数学下册 必背公式大全寒假提前背一背开学更轻松#二年级 #二年级数学 #二年级数学下册 #寒假充电计划 #公式.pdf
10.00金币
0下载
蜗牛文库+ 关注
实名认证
内容提供者

提供各种专业文档内容

确认删除?
QQ
  • QQ点击这里给我发消息
微信客服
  • 微信客服
回到顶部