电脑桌面
添加蜗牛文库到电脑桌面
安装后可以在桌面快捷访问

北京峰源 材料力学公式汇总.docVIP免费

北京峰源 材料力学公式汇总.doc_第1页
北京峰源 材料力学公式汇总.doc_第2页
北京峰源 材料力学公式汇总.doc_第3页
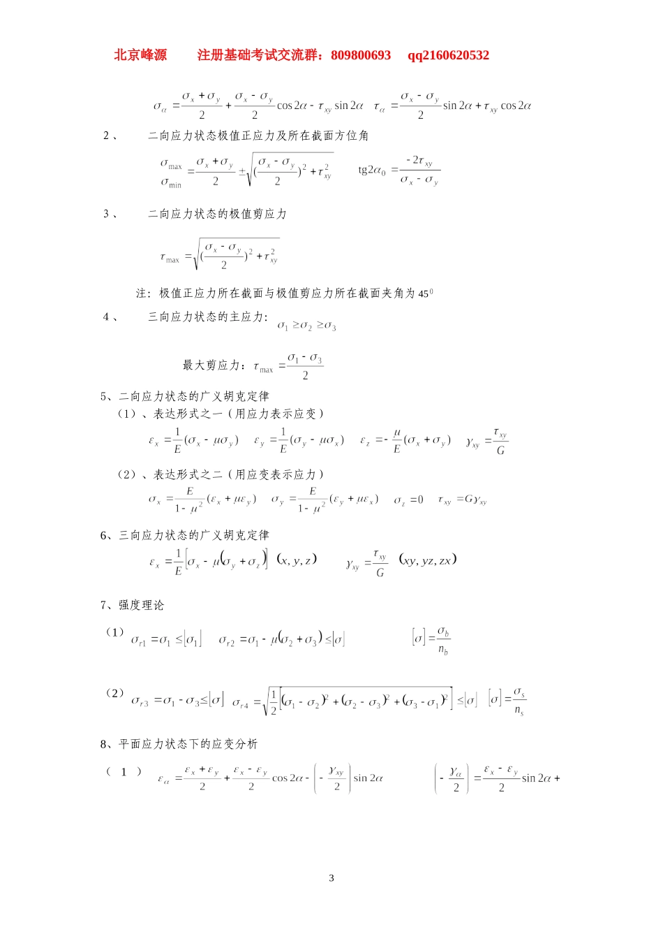
北京峰源注册基础考试交流群:809800693qq2160620532材料力学公式汇总一、应力与强度条件1、拉压2、剪切挤压3、圆轴扭转4、平面弯曲①②③5、斜弯曲6、拉(压)弯组合注意:“5”与“6”两式仅供参考7、圆轴弯扭组合:①第三强度理论②第四强度理论1北京峰源注册基础考试交流群:809800693qq2160620532二、变形及刚度条件1、拉压2、扭转()3、弯曲(1)积分法:(2)叠加法:…=+…,=…(3)基本变形表(注意:以下各公式均指绝对值,使用时要根据具体情况赋予正负号),(4)弹性变形能(注:以下只给出弯曲构件的变形能,并忽略剪力影响,其他变形与此相似,不予写出)==(5)卡氏第二定理(注:只给出线性弹性弯曲梁的公式)三、应力状态与强度理论1、二向应力状态斜截面应力2北京峰源注册基础考试交流群:809800693qq21606205322、二向应力状态极值正应力及所在截面方位角3、二向应力状态的极值剪应力注:极值正应力所在截面与极值剪应力所在截面夹角为454、三向应力状态的主应力:最大剪应力:5、二向应力状态的广义胡克定律(1)、表达形式之一(用应力表示应变)(2)、表达形式之二(用应变表示应力)6、三向应力状态的广义胡克定律7、强度理论(1)(2)8、平面应力状态下的应变分析(1)3北京峰源注册基础考试交流群:809800693qq2160620532(2)四、压杆稳定1、临界压力与临界应力公式(若把直杆分为三类)①细长受压杆②中长受压杆③短粗受压杆“”=或2、关于柔度的几个公式3、惯性半径公式(圆截面,矩形截面(b为短边长度))五、截面几何性质1、惯性矩(以下只给出公式,不注明截面的形状)=2、惯性矩平移轴公式北京峰源现在有装配式结构设计、隔震设计、公建框架班、初中级高层实战班、中高级高层班(框支、大底盘多塔、连体结构、错层、筒中筒、框架核心筒等等)超限结构分析班、地基基础班、地下室设计班、钢结构设计初中级、高级班(3d3s+sap2000+midasgen)、注册结构考试专业和基础培训班工程造价培训班欢迎大家咨询报名qq2160620532注册考试资料下载群:8098006934北京峰源注册基础考试交流群:809800693qq2160620532直播听课地址https://bjfy.ke.qq.com/#tuin=89625536免费课程下载地址http://fengyuanjy.com/news/html/?448.html百度云下载地址https://pan.baidu.com/s/1qdEcH4jPhN1w2KNdbUmgxw(若显示链接不存在,刷新一下)5

1、当您付费下载文档后,您只拥有了使用权限,并不意味着购买了版权,文档只能用于自身使用,不得用于其他商业用途(如 [转卖]进行直接盈利或[编辑后售卖]进行间接盈利)。
2、本站所有内容均由合作方或网友上传,本站不对文档的完整性、权威性及其观点立场正确性做任何保证或承诺!文档内容仅供研究参考,付费前请自行鉴别。
3、如文档内容存在违规,或者侵犯商业秘密、侵犯著作权等,请点击“违规举报”。

碎片内容

蜗牛文库的最新文档

二年级数学下册其中检测卷二年级数学下册其中检测卷附答案#期中测试卷.pdf
10.00金币
0下载
二年级数学下册期末质检卷(苏教版)二年级数学下册期末质检卷(苏教版)#期末复习 #期末测试卷 #二年级数学 #二年级数学下册#关注我持续更新小学知识.pdf
10.00金币
0下载
二年级数学下册期末混合运算专项练习二年级数学下册期末混合运算专项练习#二年级#二年级数学下册#关注我持续更新小学知识 #知识分享 #家长收藏孩子受益.pdf
10.00金币
1下载
二年级数学下册年月日三类周期问题解题方法二年级数学下册年月日三类周期问题解题方法#二年级#二年级数学下册#知识分享 #关注我持续更新小学知识 #家长收藏孩子受益.pdf
10.00金币
0下载
二年级数学下册解决问题专项训练二年级数学下册解决问题专项训练#专项训练#解决问题#二年级#二年级数学下册#知识分享.pdf
10.00金币
1下载
二年级数学下册还原问题二年级数学下册还原问题#二年级#二年级数学#关注我持续更新小学知识 #知识分享 #家长收藏孩子受益.pdf
10.00金币
1下载
二年级数学下册第六单元考试卷家长打印出来给孩子测试测试争取拿到高分!#小学二年级试卷分享 #二年级第六单考试数学 #第六单考试#二年级数学下册.pdf
10.00金币
0下载
二年级数学下册必背顺口溜口诀汇总二年级数学下册必背顺口溜口诀汇总#二年级#二年级数学下册 #知识分享 #家长收藏孩子受益 #关注我持续更新小学知识.pdf
10.00金币
0下载
二年级数学下册《重点难点思维题》两大问题解决技巧和方法巧算星期几解决周期问题还原问题强化思维训练老师精心整理家长可以打印出来给孩子练习#家长收藏孩子受益 #学霸秘籍 #思维训练 #二年级 #知识点总结.pdf
10.00金币
0下载
二年级数学下册 必背公式大全寒假提前背一背开学更轻松#二年级 #二年级数学 #二年级数学下册 #寒假充电计划 #公式.pdf
10.00金币
0下载
蜗牛文库+ 关注
实名认证
内容提供者

提供各种专业文档内容

确认删除?
QQ
  • QQ点击这里给我发消息
微信客服
  • 微信客服
回到顶部