电脑桌面
添加蜗牛文库到电脑桌面
安装后可以在桌面快捷访问

2.7 二次根式(第3课时).pptxVIP免费

2.7 二次根式(第3课时).pptx2.7 二次根式(第3课时).pptx2.7 二次根式(第3课时).pptx2.7 二次根式(第3课时).pptx
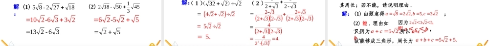
2.7二次根式(第3课时)北师大版数学八年级上册2.7二次根式/有八只小白兔,每只身上都标有一个最简二次根式,你能根据被开方数的特征将这些小白兔分到四个不同的栅栏里吗?23223322552747导入新知2.7二次根式/2.熟练掌握二次根式的混合运算的运算法则.3.会运用二次根式的混合运算法则进行有关的运算.素养目标1.类比整式运算法则,掌握二次根式的运算法则.2.7二次根式/(3)合并同类二次根式.一化二找三合并二次根式加减法的步骤:(1)将每个二次根式化为最简二次根式;(2)找出其中的同类二次根式;交流归纳交流归纳知识点1二次根式的混合运算探究新知回顾2.7二次根式/问题1单项式与多项式、多项式与多项式的乘法法则分别是什么?问题2多项式与单项式的除法法则是什么?m(a+b+c)=ma+mb+mc;(m+n)(a+b)=ma+mb+na+nb(ma+mb+mc)÷m=a+b+c探究新知回顾2.7二次根式/分配律单×多转化前面两个问题的思路是:思考若把字母a,b,c,m都用二次根式代替(每个同学任选一组),然后对比归纳,你们发现了什么?单×单二次根式的加、减、乘、除混合运算与整式运算一样,体现在:运算律、运算顺序、乘法法则仍然适用.探究新知2.7二次根式/计算:32;231188;81(24)3;6解:(1)3223322322336316216)3121(661259918.2例1探究新知素养考点1利用二次根式的四则混合运算法则进行计算(1)(2)(3)(4)2.7二次根式/2223222162412223245124336361324361866224261222611探究新知25291192225231132211322111888(2)1(24)36(3)2599182(4)2.7二次根式/化简:10152(1);31312(2);8)2118((3).解:(1)1015225110551010101011051;10101(2)313121343333331332;334巩固练习(3)8)2118(1188828218188218184144212=10.变式训练2.7二次根式/例2已知试求x2+2xy+y2的值.31,31,xy解:x2+2xy+y2=(x+y)2把代入上式得31,31,xy原式=12.探究新知有关代数式的二次根式运算素养考点223+1+31()()223()2.7二次根式/解:因为32,32,xy21232110.巩固练习3232321,xy323223,xy所以已知,求x3y+xy3.32,32xyx3y+xy3=xy(x2+y2)=...

1、当您付费下载文档后,您只拥有了使用权限,并不意味着购买了版权,文档只能用于自身使用,不得用于其他商业用途(如 [转卖]进行直接盈利或[编辑后售卖]进行间接盈利)。
2、本站所有内容均由合作方或网友上传,本站不对文档的完整性、权威性及其观点立场正确性做任何保证或承诺!文档内容仅供研究参考,付费前请自行鉴别。
3、如文档内容存在违规,或者侵犯商业秘密、侵犯著作权等,请点击“违规举报”。

碎片内容

蜗牛文库的最新文档

二年级数学下册其中检测卷二年级数学下册其中检测卷附答案#期中测试卷.pdf
10.00金币
0下载
二年级数学下册期末质检卷(苏教版)二年级数学下册期末质检卷(苏教版)#期末复习 #期末测试卷 #二年级数学 #二年级数学下册#关注我持续更新小学知识.pdf
10.00金币
0下载
二年级数学下册期末混合运算专项练习二年级数学下册期末混合运算专项练习#二年级#二年级数学下册#关注我持续更新小学知识 #知识分享 #家长收藏孩子受益.pdf
10.00金币
1下载
二年级数学下册年月日三类周期问题解题方法二年级数学下册年月日三类周期问题解题方法#二年级#二年级数学下册#知识分享 #关注我持续更新小学知识 #家长收藏孩子受益.pdf
10.00金币
0下载
二年级数学下册解决问题专项训练二年级数学下册解决问题专项训练#专项训练#解决问题#二年级#二年级数学下册#知识分享.pdf
10.00金币
1下载
二年级数学下册还原问题二年级数学下册还原问题#二年级#二年级数学#关注我持续更新小学知识 #知识分享 #家长收藏孩子受益.pdf
10.00金币
1下载
二年级数学下册第六单元考试卷家长打印出来给孩子测试测试争取拿到高分!#小学二年级试卷分享 #二年级第六单考试数学 #第六单考试#二年级数学下册.pdf
10.00金币
0下载
二年级数学下册必背顺口溜口诀汇总二年级数学下册必背顺口溜口诀汇总#二年级#二年级数学下册 #知识分享 #家长收藏孩子受益 #关注我持续更新小学知识.pdf
10.00金币
0下载
二年级数学下册《重点难点思维题》两大问题解决技巧和方法巧算星期几解决周期问题还原问题强化思维训练老师精心整理家长可以打印出来给孩子练习#家长收藏孩子受益 #学霸秘籍 #思维训练 #二年级 #知识点总结.pdf
10.00金币
0下载
二年级数学下册 必背公式大全寒假提前背一背开学更轻松#二年级 #二年级数学 #二年级数学下册 #寒假充电计划 #公式.pdf
10.00金币
0下载
蜗牛文库+ 关注
实名认证
内容提供者

提供各种专业文档内容

确认删除?
QQ
  • QQ点击这里给我发消息
微信客服
  • 微信客服
回到顶部