电脑桌面
添加蜗牛文库到电脑桌面
安装后可以在桌面快捷访问

沪教版 七年级(上)数学 第10章 分式 单元测试卷 (word版含解析).docVIP免费

沪教版 七年级(上)数学 第10章 分式 单元测试卷 (word版含解析).doc_第1页
沪教版 七年级(上)数学 第10章 分式 单元测试卷 (word版含解析).doc_第2页
沪教版 七年级(上)数学 第10章 分式 单元测试卷 (word版含解析).doc_第3页
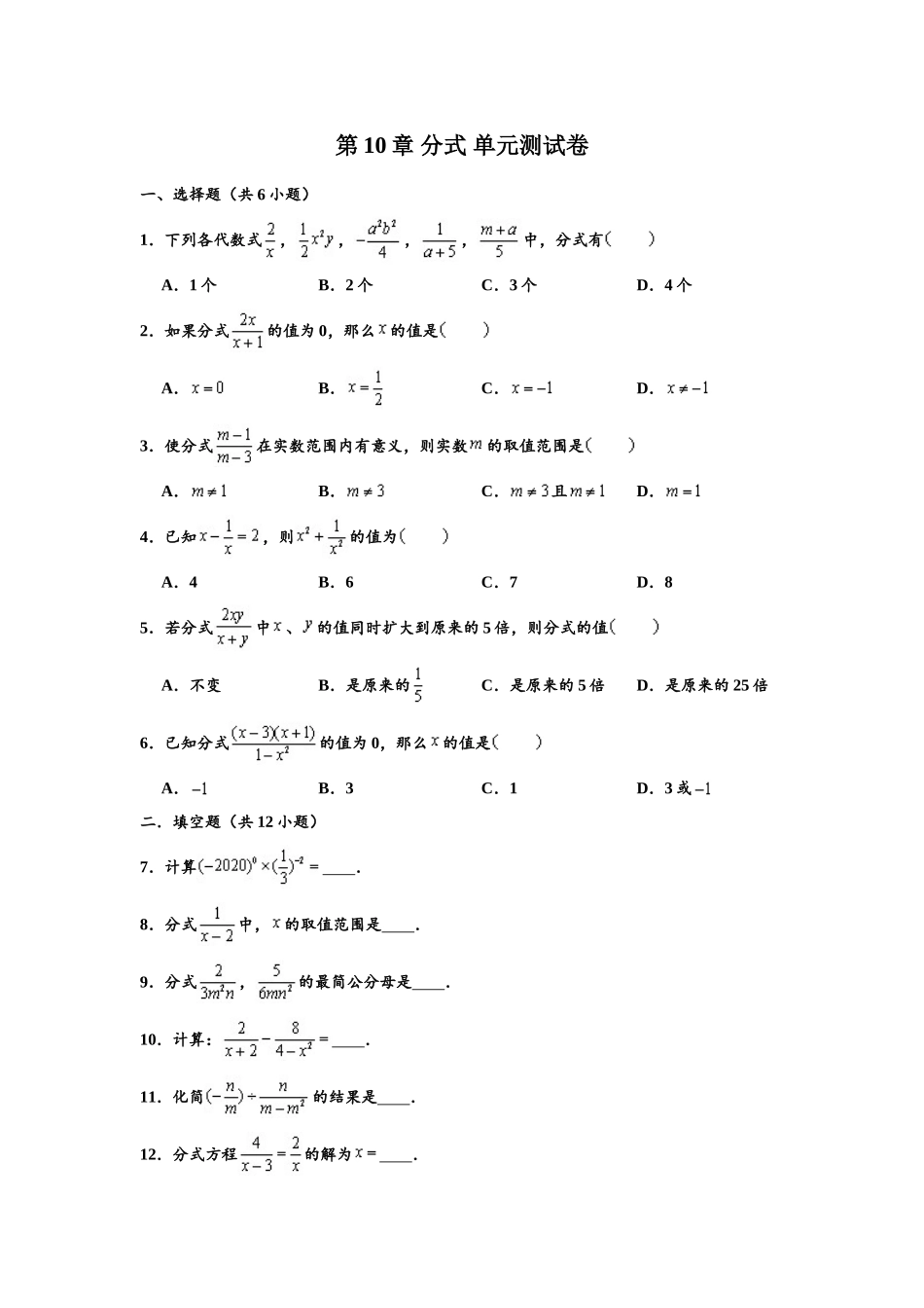
第10章分式单元测试卷一、选择题(共6小题)1.下列各代数式,,,,中,分式有A.1个B.2个C.3个D.4个2.如果分式的值为0,那么的值是A.B.C.D.3.使分式在实数范围内有意义,则实数的取值范围是A.B.C.且D.4.已知,则的值为A.4B.6C.7D.85.若分式中、的值同时扩大到原来的5倍,则分式的值A.不变B.是原来的C.是原来的5倍D.是原来的25倍6.已知分式的值为0,那么的值是A.B.3C.1D.3或二.填空题(共12小题)7.计算.8.分式中,的取值范围是.9.分式,的最简公分母是.10.计算:.11.化简的结果是.12.分式方程的解为.13.已知,则的值为.14.若代数式的值为整数,则的值为.15.关于的分式方程的解是负数,则的取值范围是.16.已知方程.如果设,那么原方程可化为关于的方程是.17.在正数范围内定义一种运算“”,其规则为“”,根据这个规则方程的解为.18.我们定义一种新运算:记,如果设为代数式,若,则(用含,的代数式表示).三.解答题(共6小题)19.解方程:.20.计算:.21.先化简,然后从,0,1,2中选一个合适的数作为的值代入求值.22.已知关于的分式方程.(1)若方程有增根,求的值.(2)若方程的解为负数,求的取值范围.23.先化简:,再从、、、0、1中选一个合适的数作为的值代入求值.24.观察下列等式:,,,将以上三个等式两边分别相加得:.(1)直接写出计算结果:.(2)猜想并直接写出计算结果:.(3)化简下列代数式(写出必要解题过程).参考答案一.选择题(共6小题)1.下列各代数式,,,,中,分式有A.1个B.2个C.3个D.4个解:代数式,是分式,共2个,故选:.2.如果分式的值为0,那么的值是A.B.C.D.解:分式的值为0,,,解得,,故选:.3.使分式在实数范围内有意义,则实数的取值范围是A.B.C.且D.解:由题意得:,解得:,故选:.4.已知,则的值为A.4B.6C.7D.8解:,,即,,故选:.5.若分式中、的值同时扩大到原来的5倍,则分式的值A.不变B.是原来的C.是原来的5倍D.是原来的25倍解:原式,故选:.6.已知分式的值为0,那么的值是A.B.3C.1D.3或解:分式的值为0,,则,解得:,故选:.二.填空题(共12小题)7.计算9.解:.故答案为:9.8.分式中,的取值范围是.解:由题意可知:,,故答案为:.9.分式,的最简公分母是.解:分式,的最简公分母是:.故答案为:.10.计算:.解:原式.故答案为:.11.化简的结果是.解:原式...

1、当您付费下载文档后,您只拥有了使用权限,并不意味着购买了版权,文档只能用于自身使用,不得用于其他商业用途(如 [转卖]进行直接盈利或[编辑后售卖]进行间接盈利)。
2、本站所有内容均由合作方或网友上传,本站不对文档的完整性、权威性及其观点立场正确性做任何保证或承诺!文档内容仅供研究参考,付费前请自行鉴别。
3、如文档内容存在违规,或者侵犯商业秘密、侵犯著作权等,请点击“违规举报”。

碎片内容

蜗牛文库的最新文档

二年级数学下册其中检测卷二年级数学下册其中检测卷附答案#期中测试卷.pdf
10.00金币
0下载
二年级数学下册期末质检卷(苏教版)二年级数学下册期末质检卷(苏教版)#期末复习 #期末测试卷 #二年级数学 #二年级数学下册#关注我持续更新小学知识.pdf
10.00金币
0下载
二年级数学下册期末混合运算专项练习二年级数学下册期末混合运算专项练习#二年级#二年级数学下册#关注我持续更新小学知识 #知识分享 #家长收藏孩子受益.pdf
10.00金币
1下载
二年级数学下册年月日三类周期问题解题方法二年级数学下册年月日三类周期问题解题方法#二年级#二年级数学下册#知识分享 #关注我持续更新小学知识 #家长收藏孩子受益.pdf
10.00金币
0下载
二年级数学下册解决问题专项训练二年级数学下册解决问题专项训练#专项训练#解决问题#二年级#二年级数学下册#知识分享.pdf
10.00金币
1下载
二年级数学下册还原问题二年级数学下册还原问题#二年级#二年级数学#关注我持续更新小学知识 #知识分享 #家长收藏孩子受益.pdf
10.00金币
1下载
二年级数学下册第六单元考试卷家长打印出来给孩子测试测试争取拿到高分!#小学二年级试卷分享 #二年级第六单考试数学 #第六单考试#二年级数学下册.pdf
10.00金币
0下载
二年级数学下册必背顺口溜口诀汇总二年级数学下册必背顺口溜口诀汇总#二年级#二年级数学下册 #知识分享 #家长收藏孩子受益 #关注我持续更新小学知识.pdf
10.00金币
0下载
二年级数学下册《重点难点思维题》两大问题解决技巧和方法巧算星期几解决周期问题还原问题强化思维训练老师精心整理家长可以打印出来给孩子练习#家长收藏孩子受益 #学霸秘籍 #思维训练 #二年级 #知识点总结.pdf
10.00金币
0下载
二年级数学下册 必背公式大全寒假提前背一背开学更轻松#二年级 #二年级数学 #二年级数学下册 #寒假充电计划 #公式.pdf
10.00金币
0下载
蜗牛文库+ 关注
实名认证
内容提供者

提供各种专业文档内容

确认删除?
QQ
  • QQ点击这里给我发消息
微信客服
  • 微信客服
回到顶部