电脑桌面
添加蜗牛文库到电脑桌面
安装后可以在桌面快捷访问

1.5 平方差公式(第1课时).pptxVIP免费

1.5 平方差公式(第1课时).pptx1.5 平方差公式(第1课时).pptx1.5 平方差公式(第1课时).pptx1.5 平方差公式(第1课时).pptx
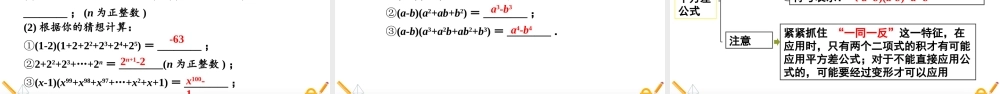
1.5平方差公式/1.5平方差公式(第1课时)北师大版数学七年级下册1.5平方差公式/王敏同学去商店买了单价是9.8元/千克的糖果10.2千克,售货员刚拿起计算器,王敏就说出应付99.96元,结果与售货员计算出的结果相吻合.售货员很惊讶地说:“你好像是个神童,怎么算得这么快?”王敏同学说:“过奖了,我利用了在数学上刚学过的一个公式.”你知道王敏同学用的是一个什么样的公式吗?导入新知1.5平方差公式/1.了解平方差公式的推导过程,掌握平方差公式.2.能利用平方差公式进行计算.素养目标3.培养学生观察能力和符号意识.1.5平方差公式/计算下列各题:(1)(x+2)(x-2);(2)(1+3a)(1-3a);(3)(x+5y)(x-5y);(4)(2y+z)(2y-z).(1)x2-4;探究新知知识点平方差公式思考:1、观察算式结构,你发现了什么规律?(2)1-9a2;(3)x2-25y2;(4)4y2-z2.1.5平方差公式/(a+b)(a−b)=a2−b2两数和与这两数差的积,等于这两数的平方差.公式变形:1.(a–b)(a+b)=a2-b22.(b+a)(-b+a)=a2-b2平方差公式探究新知1.5平方差公式/平方差公式注:这里的两数可以是两个单项式也可以是两个多项式等.(a+b)(a-b)=(a)2-(b)2相同为a相反为b,-b适当交换合理加括号探究新知右边是相同项的平方减去相反项的平方.1.5平方差公式/(1+x)(1-x)(-3+a)(-3-a)(0.3x-1)(1+0.3x)(1+a)(-1+a)填一填:aba2-b21x-3a12-x2(-3)2-a2a1a2-120.3x1(0.3x)2-12(a-b)(a+b)探究新知1.5平方差公式/练一练:口答下列各题:(1)(-a+b)(a+b)=_________.(2)(a-b)(b+a)=__________.(3)(-a-b)(-a+b)=________.(4)(a-b)(-a-b)=_________.a2-b2a2-b2b2-a2b2-a2探究新知1.5平方差公式/探究新知利用平方差公式计算:(1)(5+6x)(5-6x);(2)(x-2y)(x+2y);(3)(-m+n)(-m-n)例1解:(1)(5+6x)(5-6x)=52-(6x)2(2)(x-2y)(x+2y)=x2-(2y)2(3)(-m+n)(-m-n)=(-m)2-n2素养考点1利用平方差公式进行运算=25-36x2;=x2-4y2;=m2-n2.1.5平方差公式/方法总结探究新知应用平方差公式计算时,应注意以下几个问题:(1)左边是两个二项式相乘,并且这两个二项式中有一项完全相同,另一项互为相反数;(2)右边是相同项的平方减去相反项的平方;(3)公式中的a和b可以是具体数,也可以是单项式或多项式.1.5平方差公式/利用平方差公式计算:(1)(3x-5)(3x+5);(2)(-2a-b)(b-2a);(3)(-7m+8n)(-8n-7m).解:(1)原式=(3x)2-52=9x2-25;(2)原式=(-2a)2-b2=4a2-b2;(3)原式=(-7m)2-(8n)2=49m2-64n2;巩固练习变式训练1.5...

1、当您付费下载文档后,您只拥有了使用权限,并不意味着购买了版权,文档只能用于自身使用,不得用于其他商业用途(如 [转卖]进行直接盈利或[编辑后售卖]进行间接盈利)。
2、本站所有内容均由合作方或网友上传,本站不对文档的完整性、权威性及其观点立场正确性做任何保证或承诺!文档内容仅供研究参考,付费前请自行鉴别。
3、如文档内容存在违规,或者侵犯商业秘密、侵犯著作权等,请点击“违规举报”。

碎片内容

蜗牛文库的最新文档

二年级数学下册其中检测卷二年级数学下册其中检测卷附答案#期中测试卷.pdf
10.00金币
0下载
二年级数学下册期末质检卷(苏教版)二年级数学下册期末质检卷(苏教版)#期末复习 #期末测试卷 #二年级数学 #二年级数学下册#关注我持续更新小学知识.pdf
10.00金币
0下载
二年级数学下册期末混合运算专项练习二年级数学下册期末混合运算专项练习#二年级#二年级数学下册#关注我持续更新小学知识 #知识分享 #家长收藏孩子受益.pdf
10.00金币
1下载
二年级数学下册年月日三类周期问题解题方法二年级数学下册年月日三类周期问题解题方法#二年级#二年级数学下册#知识分享 #关注我持续更新小学知识 #家长收藏孩子受益.pdf
10.00金币
0下载
二年级数学下册解决问题专项训练二年级数学下册解决问题专项训练#专项训练#解决问题#二年级#二年级数学下册#知识分享.pdf
10.00金币
1下载
二年级数学下册还原问题二年级数学下册还原问题#二年级#二年级数学#关注我持续更新小学知识 #知识分享 #家长收藏孩子受益.pdf
10.00金币
1下载
二年级数学下册第六单元考试卷家长打印出来给孩子测试测试争取拿到高分!#小学二年级试卷分享 #二年级第六单考试数学 #第六单考试#二年级数学下册.pdf
10.00金币
0下载
二年级数学下册必背顺口溜口诀汇总二年级数学下册必背顺口溜口诀汇总#二年级#二年级数学下册 #知识分享 #家长收藏孩子受益 #关注我持续更新小学知识.pdf
10.00金币
0下载
二年级数学下册《重点难点思维题》两大问题解决技巧和方法巧算星期几解决周期问题还原问题强化思维训练老师精心整理家长可以打印出来给孩子练习#家长收藏孩子受益 #学霸秘籍 #思维训练 #二年级 #知识点总结.pdf
10.00金币
0下载
二年级数学下册 必背公式大全寒假提前背一背开学更轻松#二年级 #二年级数学 #二年级数学下册 #寒假充电计划 #公式.pdf
10.00金币
0下载
蜗牛文库+ 关注
实名认证
内容提供者

提供各种专业文档内容

确认删除?
QQ
  • QQ点击这里给我发消息
微信客服
  • 微信客服
回到顶部