电脑桌面
添加蜗牛文库到电脑桌面
安装后可以在桌面快捷访问

2012年天津高考文科数学试题及答案(Word版)(www.ximiyu.com).docVIP免费

2012年天津高考文科数学试题及答案(Word版)(www.ximiyu.com).doc_第1页
2012年天津高考文科数学试题及答案(Word版)(www.ximiyu.com).doc_第2页
2012年天津高考文科数学试题及答案(Word版)(www.ximiyu.com).doc_第3页
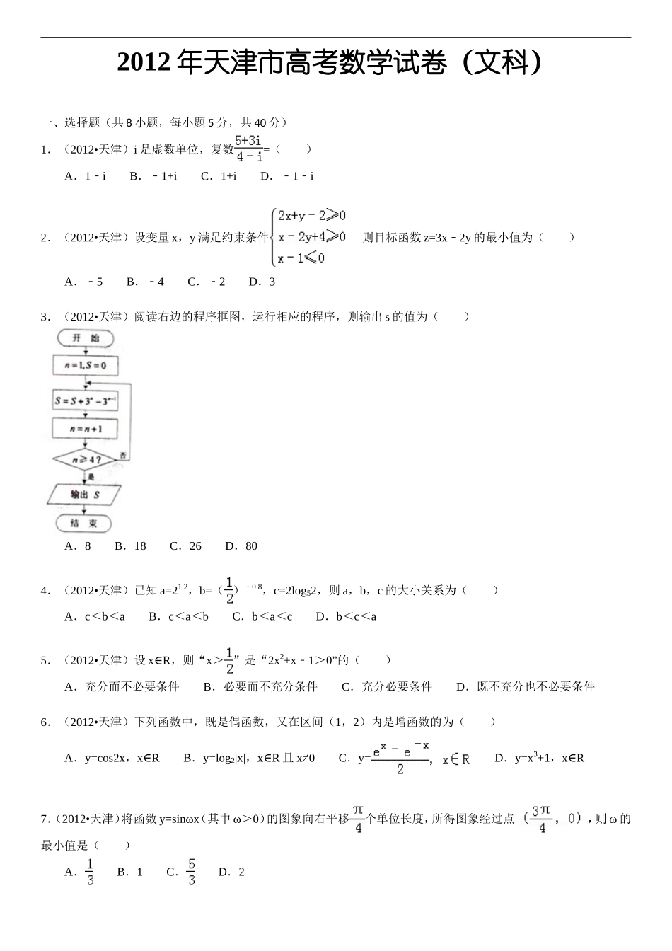
2012年天津市高考数学试卷(文科)一、选择题(共8小题,每小题5分,共40分)1.(2012•天津)i是虚数单位,复数=()A.1i﹣B.﹣1+iC.1+iD.﹣1i﹣2.(2012•天津)设变量x,y满足约束条件则目标函数z=3x2y﹣的最小值为()A.﹣5B.﹣4C.﹣2D.33.(2012•天津)阅读右边的程序框图,运行相应的程序,则输出s的值为()A.8B.18C.26D.804.(2012•天津)已知a=21.2,b=()﹣0.8,c=2log52,则a,b,c的大小关系为()A.c<b<aB.c<a<bC.b<a<cD.b<c<a5.(2012•天津)设xR∈,则“x>”是“2x2+x1﹣>0”的()A.充分而不必要条件B.必要而不充分条件C.充分必要条件D.既不充分也不必要条件6.(2012•天津)下列函数中,既是偶函数,又在区间(1,2)内是增函数的为()A.y=cos2x,xR∈B.y=log2|x|,xR∈且x≠0C.y=D.y=x3+1,xR∈7.(2012•天津)将函数y=sinωx(其中ω>0)的图象向右平移个单位长度,所得图象经过点,则ω的最小值是()A.B.1C.D.28.(2012•天津)在△ABC中,∠A=90°,AB=1,AC=2.设点P,Q满足,,λR∈.若=2,则λ=()A.B.C.D.2二、填空题(共6小题,每小题5分,共30分)9.(2012•天津)集合A={xR||x2|≤5}∈﹣中的最小整数为_________.10.(2012•天津)一个几何体的三视图如图所示(单位:m),则该几何体的体积为_________m3.11.(2012•天津)已知双曲线C1:与双曲线C:(a>0,b>0)有相同的渐近线,且C1的右焦点为F(,0).则a=_________,b=_________.12.(2012•天津)设m,nR∈,若直线l:mx+ny1=0﹣与x轴相交于点A,与y轴相交于点B,且l与圆x2+y2=4相交所得弦的长为2,O为坐标原点,则△AOB面积的最小值为_________.13.(2012•天津)如图,已知AB和AC是圆的两条弦,过点B作圆的切线与AC的延长线相交于点D,过点C作BD的平行线与圆相交于点E,与AB相交于点F,AF=3,FB=1,EF=,则线段CD的长为_________.14.(2012•天津)已知函数y=的图象与函数y=kx的图象恰有两个交点,则实数k的取值范围是_________.三、解答题(本大题共6小题,共80分)15.(2012•天津)某地区有小学21所,中学14所,大学7所,现采用分层抽样的方法从这些学校中抽取6所学校对学生进行视力调查.(1)求应从小学、中学、大学中分别抽取的学校数目;(2)若从抽取的6所学校中随机抽取2所学校做进一步数据分析.(ⅰ)列出所有可能的抽取结果;(ⅱ)求抽取的2所学校均为小学的概率....

1、当您付费下载文档后,您只拥有了使用权限,并不意味着购买了版权,文档只能用于自身使用,不得用于其他商业用途(如 [转卖]进行直接盈利或[编辑后售卖]进行间接盈利)。
2、本站所有内容均由合作方或网友上传,本站不对文档的完整性、权威性及其观点立场正确性做任何保证或承诺!文档内容仅供研究参考,付费前请自行鉴别。
3、如文档内容存在违规,或者侵犯商业秘密、侵犯著作权等,请点击“违规举报”。

碎片内容

蜗牛文库的最新文档

二年级数学下册其中检测卷二年级数学下册其中检测卷附答案#期中测试卷.pdf
10.00金币
0下载
二年级数学下册期末质检卷(苏教版)二年级数学下册期末质检卷(苏教版)#期末复习 #期末测试卷 #二年级数学 #二年级数学下册#关注我持续更新小学知识.pdf
10.00金币
0下载
二年级数学下册期末混合运算专项练习二年级数学下册期末混合运算专项练习#二年级#二年级数学下册#关注我持续更新小学知识 #知识分享 #家长收藏孩子受益.pdf
10.00金币
1下载
二年级数学下册年月日三类周期问题解题方法二年级数学下册年月日三类周期问题解题方法#二年级#二年级数学下册#知识分享 #关注我持续更新小学知识 #家长收藏孩子受益.pdf
10.00金币
0下载
二年级数学下册解决问题专项训练二年级数学下册解决问题专项训练#专项训练#解决问题#二年级#二年级数学下册#知识分享.pdf
10.00金币
1下载
二年级数学下册还原问题二年级数学下册还原问题#二年级#二年级数学#关注我持续更新小学知识 #知识分享 #家长收藏孩子受益.pdf
10.00金币
1下载
二年级数学下册第六单元考试卷家长打印出来给孩子测试测试争取拿到高分!#小学二年级试卷分享 #二年级第六单考试数学 #第六单考试#二年级数学下册.pdf
10.00金币
0下载
二年级数学下册必背顺口溜口诀汇总二年级数学下册必背顺口溜口诀汇总#二年级#二年级数学下册 #知识分享 #家长收藏孩子受益 #关注我持续更新小学知识.pdf
10.00金币
0下载
二年级数学下册《重点难点思维题》两大问题解决技巧和方法巧算星期几解决周期问题还原问题强化思维训练老师精心整理家长可以打印出来给孩子练习#家长收藏孩子受益 #学霸秘籍 #思维训练 #二年级 #知识点总结.pdf
10.00金币
0下载
二年级数学下册 必背公式大全寒假提前背一背开学更轻松#二年级 #二年级数学 #二年级数学下册 #寒假充电计划 #公式.pdf
10.00金币
0下载
蜗牛文库+ 关注
实名认证
内容提供者

提供各种专业文档内容

确认删除?
QQ
  • QQ点击这里给我发消息
微信客服
  • 微信客服
回到顶部