电脑桌面
添加蜗牛文库到电脑桌面
安装后可以在桌面快捷访问

销售员销量和每单平均销量统计.xlsxVIP免费

销售员销量和每单平均销量统计.xlsx_第1页
销售员销量和每单平均销量统计.xlsx_第2页
销售员销量和每单平均销量统计.xlsx_第3页
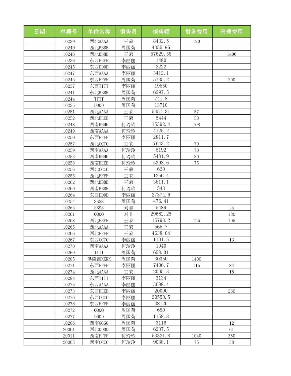
各销售员销量和每单平均销量统计业务员销售单数销售额每单平均销售额何六5387542922.4114020.30李四4717179781.2115243.70刘一1072657360.2524835.14罗八43946654.5822015.22唐九602129862.2935497.70王小4124790170.2811626.63张三5567960608.7814317.64TotalResult218733207359.800000119650.91日期单据号单位名称销售员销售额财务费用管理费用10239王荣8432.512010240周国菊4355.9510246王荣57629.55140010236李丽丽148010245李丽丽222210247李丽丽3412.110243周国菊5735.220010237李丽丽1955010241周国菊6297.510244TTTT周国菊741.810235DDDD周国菊1371010251王荣5451.315710252王荣54445010248何玲玲15392.410810249何玲玲4125.210250李丽丽2811.710257王荣7643.27010259何玲玲51927010253何玲玲5481.98010258何玲玲5398.67510256王荣62010255王荣1256.410262王荣3811.110260何玲玲54810264李丽丽27374.610254SSSS周国菊476.4110263SSSS刘非54892410261QQQQ刘非29682.2518010268王荣15798.212510510265王荣565.710266王荣4638.0410267李丽丽1101.51310270何玲玲194010269IIII周国菊658.3110285周国菊30350140010271李丽丽7406.71158410274王荣2005.31810284李丽丽313410275李丽丽3698.410273李丽丽2009026010276李丽丽20550.510278李丽丽3812610272QQQQ周国菊65010277DDDD周国菊1158.810286周国菊31161220001周国菊6237.56120011何玲玲53321.8104035020005何玲玲9038.17538西北AAAA西北BBBB西北BBBB东西EEEE东西DDDD东西AAAA东西FFFF东西TTTT东北BBBB西北AAAA西北EEEE西南HHHH西南AAAA东西FFFF西北CCCC西南AAAA西南HHHH西南EEEE西北CCCC西北FFFF西北BBBB西南BBBB东西DDDD西北EEEE西北AAAA西北FFFF东西CCCC西南AAAA供应部KKKK东西FFFF西北AAAA东西TTTT东西AAAA东西EEEE东西CCCC东西FFFF西南GGGG西北DDDD西南FFFF西南CCCC20008何玲玲1571824012720004王荣5333.7603120009何玲玲342.520006何玲玲925.3420003李丽丽16771.418020002周国菊117920018王荣5142757920015何玲玲5397.3603120013王荣2107.320020何玲玲338020019何玲玲8669.9520014李丽丽22777.220016PPPP周国菊105420007唐刘云10804.560020023王荣2986614020021何玲玲2176020017何玲玲6251020012何玲玲82127.520022李丽丽47420031李丽丽17395.613720024李丽丽2063026020025李丽丽24058.412320010周国菊5322.813020029DDDD周国菊317420034王荣5404.9604220030王荣11010906320037何玲玲2356...

1、当您付费下载文档后,您只拥有了使用权限,并不意味着购买了版权,文档只能用于自身使用,不得用于其他商业用途(如 [转卖]进行直接盈利或[编辑后售卖]进行间接盈利)。
2、本站所有内容均由合作方或网友上传,本站不对文档的完整性、权威性及其观点立场正确性做任何保证或承诺!文档内容仅供研究参考,付费前请自行鉴别。
3、如文档内容存在违规,或者侵犯商业秘密、侵犯著作权等,请点击“违规举报”。

碎片内容

蜗牛文库的最新文档

二年级数学下册其中检测卷二年级数学下册其中检测卷附答案#期中测试卷.pdf
10.00金币
0下载
二年级数学下册期末质检卷(苏教版)二年级数学下册期末质检卷(苏教版)#期末复习 #期末测试卷 #二年级数学 #二年级数学下册#关注我持续更新小学知识.pdf
10.00金币
0下载
二年级数学下册期末混合运算专项练习二年级数学下册期末混合运算专项练习#二年级#二年级数学下册#关注我持续更新小学知识 #知识分享 #家长收藏孩子受益.pdf
10.00金币
1下载
二年级数学下册年月日三类周期问题解题方法二年级数学下册年月日三类周期问题解题方法#二年级#二年级数学下册#知识分享 #关注我持续更新小学知识 #家长收藏孩子受益.pdf
10.00金币
0下载
二年级数学下册解决问题专项训练二年级数学下册解决问题专项训练#专项训练#解决问题#二年级#二年级数学下册#知识分享.pdf
10.00金币
1下载
二年级数学下册还原问题二年级数学下册还原问题#二年级#二年级数学#关注我持续更新小学知识 #知识分享 #家长收藏孩子受益.pdf
10.00金币
1下载
二年级数学下册第六单元考试卷家长打印出来给孩子测试测试争取拿到高分!#小学二年级试卷分享 #二年级第六单考试数学 #第六单考试#二年级数学下册.pdf
10.00金币
0下载
二年级数学下册必背顺口溜口诀汇总二年级数学下册必背顺口溜口诀汇总#二年级#二年级数学下册 #知识分享 #家长收藏孩子受益 #关注我持续更新小学知识.pdf
10.00金币
0下载
二年级数学下册《重点难点思维题》两大问题解决技巧和方法巧算星期几解决周期问题还原问题强化思维训练老师精心整理家长可以打印出来给孩子练习#家长收藏孩子受益 #学霸秘籍 #思维训练 #二年级 #知识点总结.pdf
10.00金币
0下载
二年级数学下册 必背公式大全寒假提前背一背开学更轻松#二年级 #二年级数学 #二年级数学下册 #寒假充电计划 #公式.pdf
10.00金币
0下载
蜗牛文库+ 关注
实名认证
内容提供者

提供各种专业文档内容

确认删除?
QQ
  • QQ点击这里给我发消息
微信客服
  • 微信客服
回到顶部