电脑桌面
添加蜗牛文库到电脑桌面
安装后可以在桌面快捷访问

员工绩效和离职管理.xlsxVIP免费

员工绩效和离职管理.xlsx_第1页
员工绩效和离职管理.xlsx_第2页
员工绩效和离职管理.xlsx_第3页
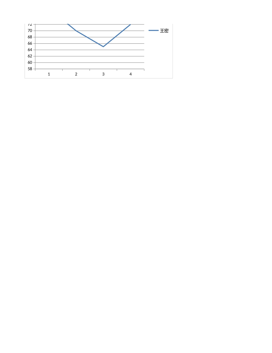
部门财务部71.6666666666667后勤部72.9人事部74.1666666666667生产部74.6875销售部73.7142857142857行政部74.75TotalResu73.8166666666667平均值项:考核平均成绩财务部后勤部人事部生产部销售部行政部TotalResult7070.57171.57272.57373.57474.575各部门绩效考核分析平均值项:考核平均成绩员工绩效考核统计表编号姓名部门职位工龄FX001蔡静生产部厂长1075707872FX002陈媛生产部主管976807075FX003王密生产部员工677706572FX004吕芬芬生产部员工775807478FX005路高泽生产部员工978758072FX006岳庆浩生产部员工580727576FX007李雪儿生产部员工685687070FX008陈山生产部员工685707572FX009廖晓销售部总监1186807070FX010张丽君销售部经理975707270FX011吴华波销售部大区经理270757474FX012黄孝铭销售部大区经理275756875FX013丁锐销售部大区经理180766872FX014庄霞销售部大区经理365786870FX015黄鹂销售部大区经理885787570FX016侯娟娟人事部主管974787575FX017王福鑫人事部人事专员872707870FX018王琪人事部人事专员370707880FX019陈潇行政部行政副总1178787475FX020杨浪行政部主管776807468FX021陈风行政部行政文员280757475FX022张点点行政部销售内勤171707870FX023于青青财务部主办会计1172657670FX024邓兰兰财务部会计570707275FX025罗羽财务部会计265806580FX026杨宽后勤部主管775827575FX027金鑫后勤部仓管480767875FX028刘猛后勤部司机280756868FX029郑淑娟后勤部食堂270657068FX030钟菲菲后勤部食堂275657068一季度考核成绩二季效考核成绩三季度考核成绩四季度绩效成绩6466687072747678王密王密12345860626466687072747678王密73.7575.257176.7576.2575.7573.2575.576.571.7573.2573.257470.257775.572.574.576.2574.57672.2570.7571.7572.576.7577.2572.7568.2569.5考核平均成绩员工年度绩效考核统计表编号姓名FX001蔡静75.5737073.75FX002陈媛69.5727375.25FX003王密78757271FX004吕芬芬68787076.75FX005路高泽8074.57976.25FX006岳庆浩7572.58075.75FX007李雪儿7670.257473.25FX008陈山7068.757075.5FX009廖晓7573.575.2576.5FX010张丽君7875.57271.75FX011吴华波75787573.25FX012黄孝铭74757073.25FX013丁锐72757274FX014庄霞7076.569.2570.25FX015黄鹂777875.7577FX016侯娟娟70707275.5FX017王福鑫757168.2572.5FX018王琪787073.574.5FX019陈潇767572.7576.25FX020杨浪80727074.5FX021陈风68707376FX022张点点826870.2572.25FX023于青青...

1、当您付费下载文档后,您只拥有了使用权限,并不意味着购买了版权,文档只能用于自身使用,不得用于其他商业用途(如 [转卖]进行直接盈利或[编辑后售卖]进行间接盈利)。
2、本站所有内容均由合作方或网友上传,本站不对文档的完整性、权威性及其观点立场正确性做任何保证或承诺!文档内容仅供研究参考,付费前请自行鉴别。
3、如文档内容存在违规,或者侵犯商业秘密、侵犯著作权等,请点击“违规举报”。

碎片内容

蜗牛文库的最新文档

二年级数学下册其中检测卷二年级数学下册其中检测卷附答案#期中测试卷.pdf
10.00金币
0下载
二年级数学下册期末质检卷(苏教版)二年级数学下册期末质检卷(苏教版)#期末复习 #期末测试卷 #二年级数学 #二年级数学下册#关注我持续更新小学知识.pdf
10.00金币
0下载
二年级数学下册期末混合运算专项练习二年级数学下册期末混合运算专项练习#二年级#二年级数学下册#关注我持续更新小学知识 #知识分享 #家长收藏孩子受益.pdf
10.00金币
1下载
二年级数学下册年月日三类周期问题解题方法二年级数学下册年月日三类周期问题解题方法#二年级#二年级数学下册#知识分享 #关注我持续更新小学知识 #家长收藏孩子受益.pdf
10.00金币
0下载
二年级数学下册解决问题专项训练二年级数学下册解决问题专项训练#专项训练#解决问题#二年级#二年级数学下册#知识分享.pdf
10.00金币
1下载
二年级数学下册还原问题二年级数学下册还原问题#二年级#二年级数学#关注我持续更新小学知识 #知识分享 #家长收藏孩子受益.pdf
10.00金币
1下载
二年级数学下册第六单元考试卷家长打印出来给孩子测试测试争取拿到高分!#小学二年级试卷分享 #二年级第六单考试数学 #第六单考试#二年级数学下册.pdf
10.00金币
0下载
二年级数学下册必背顺口溜口诀汇总二年级数学下册必背顺口溜口诀汇总#二年级#二年级数学下册 #知识分享 #家长收藏孩子受益 #关注我持续更新小学知识.pdf
10.00金币
0下载
二年级数学下册《重点难点思维题》两大问题解决技巧和方法巧算星期几解决周期问题还原问题强化思维训练老师精心整理家长可以打印出来给孩子练习#家长收藏孩子受益 #学霸秘籍 #思维训练 #二年级 #知识点总结.pdf
10.00金币
0下载
二年级数学下册 必背公式大全寒假提前背一背开学更轻松#二年级 #二年级数学 #二年级数学下册 #寒假充电计划 #公式.pdf
10.00金币
0下载
蜗牛文库+ 关注
实名认证
内容提供者

提供各种专业文档内容

确认删除?
QQ
  • QQ点击这里给我发消息
微信客服
  • 微信客服
回到顶部