电脑桌面
添加蜗牛文库到电脑桌面
安装后可以在桌面快捷访问

02-【会计财务处理】-04-现金日记账 (2).xlsVIP免费

02-【会计财务处理】-04-现金日记账 (2).xls_第1页
02-【会计财务处理】-04-现金日记账 (2).xls_第2页
02-【会计财务处理】-04-现金日记账 (2).xls_第3页
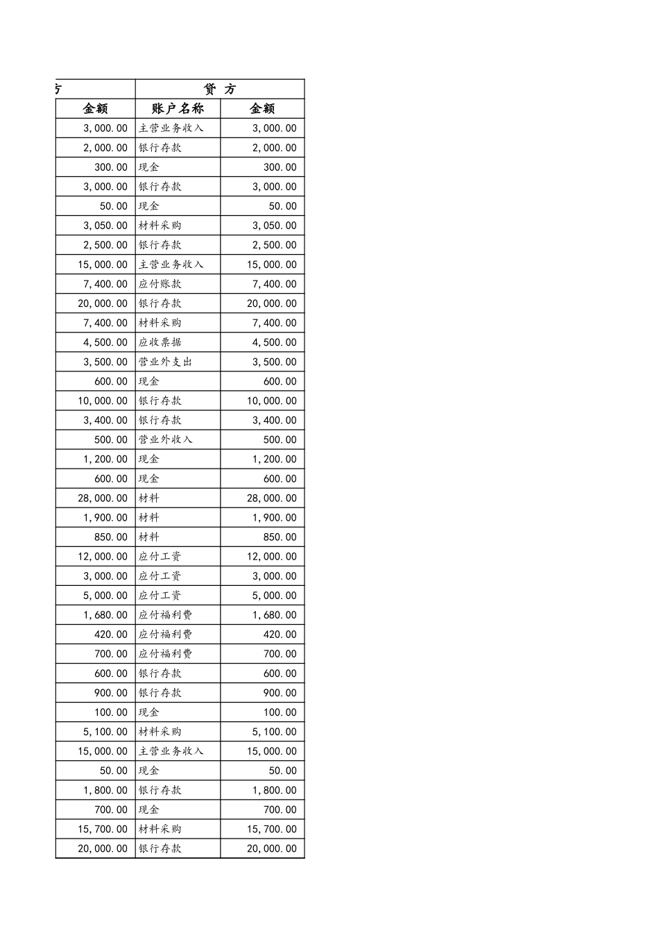
凭证种类编号摘要借方月日账户名称51转1结转材料费用材料1现收1提现现金1现付1购买打印机其他应收款2银付1购进材料材料采购3银收1废品出售废品3转2结转采购成本材料4银付2应付账款4银收2银行存款4转3材料采购5银付3偿还欠款应付账款5转4结转材料采购成本材料5转5应收票据不能兑付应收账款6转6冲销应付款应付账款6现付2现金存入银行存款6银付4支付捐赠款营业外支出6银付5支付借款利息预提费用7现收2收到罚款现金7现付3支付保险费管理费用7现付4支付职工住院费应付福利费8转7上月耗用材料生产成本800制造费用900管理费用9转8计提应付工次生产成本1000制造费用1000管理费用10转9计提福利费生产成本1000制造费用1000管理费用11银付6支付预提费用预提费用11银付7预付租金待摊费用12现付5支付采购费材料采购12转10结转材料采购成本材料12转11应收账款13现付6补付现金管理费用13银付8预付租金待摊费用14现付7支付采购费材料采购14转12结转材料采购成本材料15现收3提现现金×公司2012年5月会计凭证2012年凭证类别及编号转1现收1现付1银付1银收1转2银付2偿还S公司欠款银收2出售N产品10件转3购进a材料5吨,b材料3吨银付3转4转5转6现付2银付4银付5现收2现付3现付4转7转8转9银付6银付7现付5转10转11出售N产品给乙单位现付6银付8现付7转12现收315现付8发工资应付工资16转13王五报差旅费管理费用16现收4退回现金现金17转14生产车间领用材料制造费用18转15李四报差旅费管理费用18现收5退回现金现金19转16出售产品给甲单位应收账款21银收3应付账款21转17银行存款22银付9偿还欠款应付账款23现付9结转材料采购成本材料24现收6应收票据不能兑付应收账款24转18以应收票据抵付料款材料采购25现付10应收账款26银付10王五借差旅费其他应收款26银付11现金27现收7应收账款28现付11现金存入银行存款29现付12收到乙单位欠款银行存款31银付12支付预提费用预提费用31银付13支付赔偿金营业外支出现付8转13现收4转14转15现收5转16银收3偿还S公司欠款转17出售N产品10件银付9现付9现收6转18现付10出售产品B10件银付10银付11出售C产品15件现收7出售产品出G公司现付11现付12银付12银付13借方贷方金额账户名称金额3,000.00主营业务收入3,000.002,000.00银行存款2,000.00300.00现金300.003,000.00银行存款3,000.0050.00现金50.003,050.00材料采购3,050.002,500.00银行存款2,500.0015,000.00主营业务收入15,000.007,400.00应付账款7,400.0020,000.00银行存款20,000.007,400.00材料采购7,40...

1、当您付费下载文档后,您只拥有了使用权限,并不意味着购买了版权,文档只能用于自身使用,不得用于其他商业用途(如 [转卖]进行直接盈利或[编辑后售卖]进行间接盈利)。
2、本站所有内容均由合作方或网友上传,本站不对文档的完整性、权威性及其观点立场正确性做任何保证或承诺!文档内容仅供研究参考,付费前请自行鉴别。
3、如文档内容存在违规,或者侵犯商业秘密、侵犯著作权等,请点击“违规举报”。

碎片内容

蜗牛文库的最新文档

二年级数学下册其中检测卷二年级数学下册其中检测卷附答案#期中测试卷.pdf
10.00金币
0下载
二年级数学下册期末质检卷(苏教版)二年级数学下册期末质检卷(苏教版)#期末复习 #期末测试卷 #二年级数学 #二年级数学下册#关注我持续更新小学知识.pdf
10.00金币
0下载
二年级数学下册期末混合运算专项练习二年级数学下册期末混合运算专项练习#二年级#二年级数学下册#关注我持续更新小学知识 #知识分享 #家长收藏孩子受益.pdf
10.00金币
1下载
二年级数学下册年月日三类周期问题解题方法二年级数学下册年月日三类周期问题解题方法#二年级#二年级数学下册#知识分享 #关注我持续更新小学知识 #家长收藏孩子受益.pdf
10.00金币
0下载
二年级数学下册解决问题专项训练二年级数学下册解决问题专项训练#专项训练#解决问题#二年级#二年级数学下册#知识分享.pdf
10.00金币
1下载
二年级数学下册还原问题二年级数学下册还原问题#二年级#二年级数学#关注我持续更新小学知识 #知识分享 #家长收藏孩子受益.pdf
10.00金币
1下载
二年级数学下册第六单元考试卷家长打印出来给孩子测试测试争取拿到高分!#小学二年级试卷分享 #二年级第六单考试数学 #第六单考试#二年级数学下册.pdf
10.00金币
0下载
二年级数学下册必背顺口溜口诀汇总二年级数学下册必背顺口溜口诀汇总#二年级#二年级数学下册 #知识分享 #家长收藏孩子受益 #关注我持续更新小学知识.pdf
10.00金币
0下载
二年级数学下册《重点难点思维题》两大问题解决技巧和方法巧算星期几解决周期问题还原问题强化思维训练老师精心整理家长可以打印出来给孩子练习#家长收藏孩子受益 #学霸秘籍 #思维训练 #二年级 #知识点总结.pdf
10.00金币
0下载
二年级数学下册 必背公式大全寒假提前背一背开学更轻松#二年级 #二年级数学 #二年级数学下册 #寒假充电计划 #公式.pdf
10.00金币
0下载
蜗牛文库+ 关注
实名认证
内容提供者

提供各种专业文档内容

确认删除?
QQ
  • QQ点击这里给我发消息
微信客服
  • 微信客服
回到顶部