电脑桌面
添加蜗牛文库到电脑桌面
安装后可以在桌面快捷访问

沪教版六年级数学下册 有理数 单元试卷.docVIP免费

沪教版六年级数学下册 有理数 单元试卷.doc_第1页
沪教版六年级数学下册 有理数 单元试卷.doc_第2页
沪教版六年级数学下册 有理数 单元试卷.doc_第3页
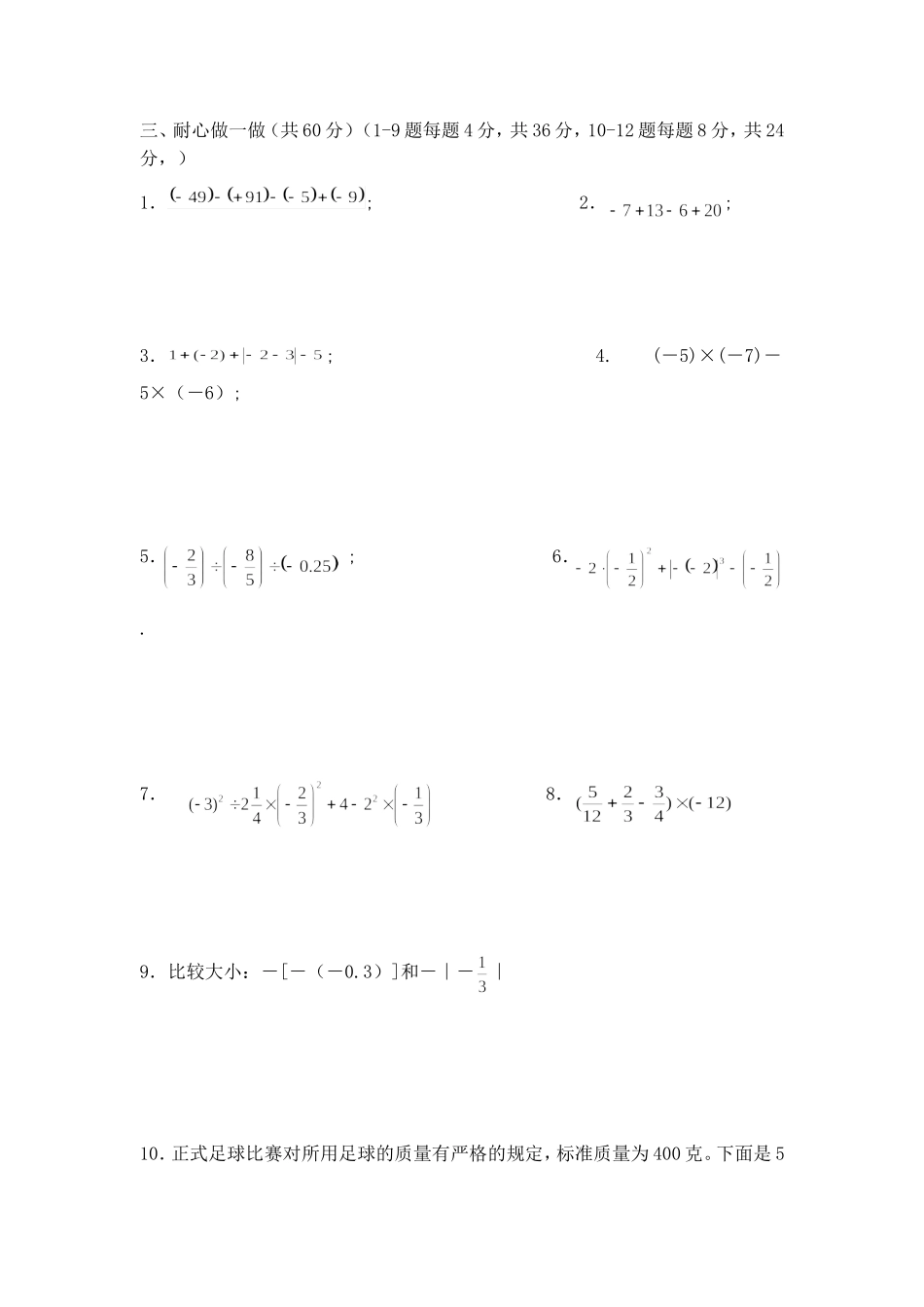
有理数(考试卷)班级:学号:姓名:得分:(考试时间:120分钟;全卷满分:120分;试卷编号)一、用心选一选(每小题2分,共30分)1.零是()A、正有理数B、正数C、非正数D、有理数2.下列说法不正确的是()A、0小于所有正数B、0大于所有负数C、0既不是正数也不是负数D、0没有绝对值3.数轴上,原点及原点右边的点所表示的数是()A、正数B、负数C、非正数D、非负数4.下列说法正确的是()A、正数和负数互为相反数;B、a的相反数是负数C、相反数等于它本身的数只有0D、的相反数是正数5.若两个数的和为正数,则这两个数()A、至少有一个为正数B、只有一个是正数C、有一个必为0D、都是正数6.若,则的值()A、是正数B、是负数C、是非正数D、是非负数7.一个有理数的平方一定是()A、是正数B、是负数C、是非正数D、是非负数8.下列说法正确的是()A、0.720有两个有效数字B、3.6万精确到个位C、5.078精确到千分位D、3000有一个有效数字9.下列各组数中,数值相等的是()A、32和23;B、-23和(-2)3C、-32和(-3)2;D、—(3×2)2和-3×2210.若是负数,则下列各式不正确的是()A、B、C、D、11.下列说法正确的是()A.绝对值等于3的数是-3B.绝对值小于的整数是1和-1C.绝对值最小的有理数是1D.3的绝对值是312.下列判断正确的是()A.的相反数是2004;B.的相反数是-2004;C.的相反数是-;D.的相反数是13.下列四组有理数大小的比较正确的是()A.;B.;C.;D.14.下列说法错误的个数是()①一个数的绝对值的相反数一定是负数;②只有负数的绝对值是它的相反数③正数和零的绝对值都等于它本身;④互为相反数的两个数的绝对值相等A.3个B.2个C.1个D.0个15.下列说法正确的是().①在+5与-6之间没有正数②在-1与0之间没有负数③在+5与+6之间有无数个正分数④在-1与0之间没有正分数A.仅④正确B.仅③正确C.仅③④正确D.①②④正确二、细心填一填(每小题3分,共30分)1.某蓄水池的标准水位记为0m,如果水面高于标水位0.23m表示为0.23m,那么,水面低于标准水位0.1m表示为;2.写出3个小于-1000并且大于-1003的数。3.一个点从数轴的原点开始,向右移动5个单位长度,再向左移动8个单位长度,到达的终点表示的数是。4.相反数等于它本身的数是。5.-3.5的倒数数是。6.绝对值等于10的数是。7.式子-62的计算结果是。8.数轴上,如果点A表示-,点B表示-,那么离原点较近的点是。9.760340(精确到千位)≈.10.640.9(保留两个有效数字)≈.三、耐心做一做(共60分)(1-9题每题4分...

1、当您付费下载文档后,您只拥有了使用权限,并不意味着购买了版权,文档只能用于自身使用,不得用于其他商业用途(如 [转卖]进行直接盈利或[编辑后售卖]进行间接盈利)。
2、本站所有内容均由合作方或网友上传,本站不对文档的完整性、权威性及其观点立场正确性做任何保证或承诺!文档内容仅供研究参考,付费前请自行鉴别。
3、如文档内容存在违规,或者侵犯商业秘密、侵犯著作权等,请点击“违规举报”。

碎片内容

蜗牛文库的最新文档

二年级数学下册其中检测卷二年级数学下册其中检测卷附答案#期中测试卷.pdf
10.00金币
0下载
二年级数学下册期末质检卷(苏教版)二年级数学下册期末质检卷(苏教版)#期末复习 #期末测试卷 #二年级数学 #二年级数学下册#关注我持续更新小学知识.pdf
10.00金币
0下载
二年级数学下册期末混合运算专项练习二年级数学下册期末混合运算专项练习#二年级#二年级数学下册#关注我持续更新小学知识 #知识分享 #家长收藏孩子受益.pdf
10.00金币
1下载
二年级数学下册年月日三类周期问题解题方法二年级数学下册年月日三类周期问题解题方法#二年级#二年级数学下册#知识分享 #关注我持续更新小学知识 #家长收藏孩子受益.pdf
10.00金币
0下载
二年级数学下册解决问题专项训练二年级数学下册解决问题专项训练#专项训练#解决问题#二年级#二年级数学下册#知识分享.pdf
10.00金币
1下载
二年级数学下册还原问题二年级数学下册还原问题#二年级#二年级数学#关注我持续更新小学知识 #知识分享 #家长收藏孩子受益.pdf
10.00金币
1下载
二年级数学下册第六单元考试卷家长打印出来给孩子测试测试争取拿到高分!#小学二年级试卷分享 #二年级第六单考试数学 #第六单考试#二年级数学下册.pdf
10.00金币
0下载
二年级数学下册必背顺口溜口诀汇总二年级数学下册必背顺口溜口诀汇总#二年级#二年级数学下册 #知识分享 #家长收藏孩子受益 #关注我持续更新小学知识.pdf
10.00金币
0下载
二年级数学下册《重点难点思维题》两大问题解决技巧和方法巧算星期几解决周期问题还原问题强化思维训练老师精心整理家长可以打印出来给孩子练习#家长收藏孩子受益 #学霸秘籍 #思维训练 #二年级 #知识点总结.pdf
10.00金币
0下载
二年级数学下册 必背公式大全寒假提前背一背开学更轻松#二年级 #二年级数学 #二年级数学下册 #寒假充电计划 #公式.pdf
10.00金币
0下载
蜗牛文库+ 关注
实名认证
内容提供者

提供各种专业文档内容

确认删除?
QQ
  • QQ点击这里给我发消息
微信客服
  • 微信客服
回到顶部