电脑桌面
添加蜗牛文库到电脑桌面
安装后可以在桌面快捷访问

食品中兽药最高残留限量(澳门特别行政区第132013号行政法规).pdfVIP免费

食品中兽药最高残留限量(澳门特别行政区第132013号行政法规).pdf_第1页
食品中兽药最高残留限量(澳门特别行政区第132013号行政法规).pdf_第2页
食品中兽药最高残留限量(澳门特别行政区第132013号行政法规).pdf_第3页
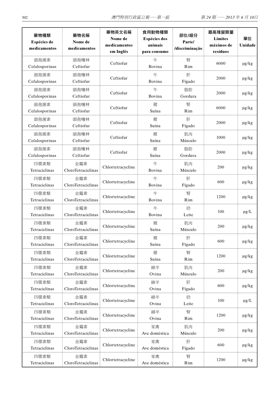
500澳門特別行政區公報——第一組第24期——2013年6月10日澳門特別行政區第13/2013號行政法規食品中獸藥最高殘留限量行政長官根據《澳門特別行政區基本法》第五十條(五)項及第5/2013號法律《食品安全法》第七條第三款的規定,經徵詢行政會的意見,制定本補充性行政法規。第一條標的及範圍一、本行政法規訂定食品中獸藥最高殘留限量,以保障食品的衛生安全。二、核准《食品中獸藥最高殘留限量》列表,該列表載於為本行政法規組成部分的附件。三、本行政法規適用於監控上款所指列表所定動物種類的食用部分的獸藥最高殘留限量,不論該等食用部分是處於進口、加工或售賣的階段。第二條定義為適用本行政法規的規定,下列用語的含義為:(一)“獸藥殘留”是指對食用動物給藥後,該動物的食用部分所殘留的任何藥物及其相關物質,包括原型藥物及其代謝產物;(二)“最高殘留限量”是指存在於食品內或其表面的獸藥殘留的法定最高濃度,該濃度以mg/kg、μg/kg、mg/L或μg/L表示。第三條最高殘留限量最高殘留限量應符合第一條第二款所指列表的規定。REGIÃOADMINISTRATIVAESPECIALDEMACAURegulamentoAdministrativon.º13/2013LimitesmáximosderesíduosdemedicamentosveterináriosnosalimentosOChefedoExecutivo,depoisdeouvidooConselhoExecuti-vo,decreta,nostermosdaalínea5)doartigo50.ºdaLeiBásicadaRegiãoAdministrativaEspecialdeMacauedon.º3doarti-go7.ºdaLein.º5/2013(Leidesegurançaalimentar),paravalercomoregulamentoadministrativocomplementar,oseguinte:Artigo1.ºObjectoeâmbito1.Opresenteregulamentoadministrativoestabeleceoslimi-tesmáximosderesíduosdemedicamentosveterináriosnosali-mentos,salvaguardandoahigieneeasegurançadosalimentos.2.Éaprovadaalistadelimitesmáximosderesíduosdeme-dicamentosveterináriosnosalimentos,queconstadoanexoaopresenteregulamentoadministrativoedoqualfazparteinte-grante.3.Opresenteregulamentoadministrativoéaplicávelaocon-trolodoslimitesmáximosderesíduosdemedicamentosvete-rináriosexistentesnaspartesdestinadasaoconsumohumanodasespéciesanimaisprevistasnalistareferidanonúmeroanterior,quersejanafasedaimportação,quernadatransfor-maçãooudavendadasmesmas.Artigo2.ºDefiniçõesParaefeitosdopresenteregulamentoadministrativo,ent...

1、当您付费下载文档后,您只拥有了使用权限,并不意味着购买了版权,文档只能用于自身使用,不得用于其他商业用途(如 [转卖]进行直接盈利或[编辑后售卖]进行间接盈利)。
2、本站所有内容均由合作方或网友上传,本站不对文档的完整性、权威性及其观点立场正确性做任何保证或承诺!文档内容仅供研究参考,付费前请自行鉴别。
3、如文档内容存在违规,或者侵犯商业秘密、侵犯著作权等,请点击“违规举报”。

碎片内容

蜗牛文库的最新文档

二年级数学下册其中检测卷二年级数学下册其中检测卷附答案#期中测试卷.pdf
10.00金币
0下载
二年级数学下册期末质检卷(苏教版)二年级数学下册期末质检卷(苏教版)#期末复习 #期末测试卷 #二年级数学 #二年级数学下册#关注我持续更新小学知识.pdf
10.00金币
0下载
二年级数学下册期末混合运算专项练习二年级数学下册期末混合运算专项练习#二年级#二年级数学下册#关注我持续更新小学知识 #知识分享 #家长收藏孩子受益.pdf
10.00金币
1下载
二年级数学下册年月日三类周期问题解题方法二年级数学下册年月日三类周期问题解题方法#二年级#二年级数学下册#知识分享 #关注我持续更新小学知识 #家长收藏孩子受益.pdf
10.00金币
0下载
二年级数学下册解决问题专项训练二年级数学下册解决问题专项训练#专项训练#解决问题#二年级#二年级数学下册#知识分享.pdf
10.00金币
1下载
二年级数学下册还原问题二年级数学下册还原问题#二年级#二年级数学#关注我持续更新小学知识 #知识分享 #家长收藏孩子受益.pdf
10.00金币
1下载
二年级数学下册第六单元考试卷家长打印出来给孩子测试测试争取拿到高分!#小学二年级试卷分享 #二年级第六单考试数学 #第六单考试#二年级数学下册.pdf
10.00金币
0下载
二年级数学下册必背顺口溜口诀汇总二年级数学下册必背顺口溜口诀汇总#二年级#二年级数学下册 #知识分享 #家长收藏孩子受益 #关注我持续更新小学知识.pdf
10.00金币
0下载
二年级数学下册《重点难点思维题》两大问题解决技巧和方法巧算星期几解决周期问题还原问题强化思维训练老师精心整理家长可以打印出来给孩子练习#家长收藏孩子受益 #学霸秘籍 #思维训练 #二年级 #知识点总结.pdf
10.00金币
0下载
二年级数学下册 必背公式大全寒假提前背一背开学更轻松#二年级 #二年级数学 #二年级数学下册 #寒假充电计划 #公式.pdf
10.00金币
0下载
蜗牛文库+ 关注
实名认证
内容提供者

提供各种专业文档内容

确认删除?
QQ
  • QQ点击这里给我发消息
微信客服
  • 微信客服
回到顶部