电脑桌面
添加蜗牛文库到电脑桌面
安装后可以在桌面快捷访问

2019-2020学年北京市东城区八年级(下)期末数学试卷.docVIP免费

2019-2020学年北京市东城区八年级(下)期末数学试卷.doc_第1页
2019-2020学年北京市东城区八年级(下)期末数学试卷.doc_第2页
2019-2020学年北京市东城区八年级(下)期末数学试卷.doc_第3页
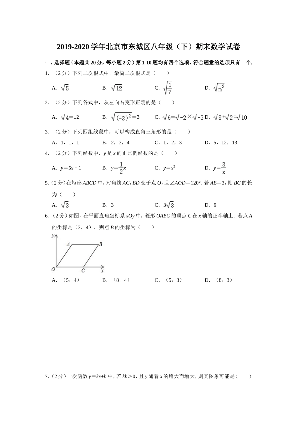
2019-2020学年北京市东城区八年级(下)期末数学试卷一、选择题(本题共20分,每小题2分)第1-10题均有四个选项,符合题意的选项只有一个.1.(2分)下列二次根式中,最简二次根式是()A.B.C.D.2.(2分)下列各式中,从左向右变形正确的是()A.=±2B.=3C.=D.3.(2分)下列四组线段中,可以构成直角三角形的是()A.1,1,1B.2,3,4C.1,2,3D.5,12,134.(2分)下列函数中,y是x的正比例函数的是()A.y=5x﹣1B.y=xC.y=x2D.y=5.(2分)在矩形ABCD中,对角线AC,BD交于点O,且∠AOD=120°.若AB=3,则BC的长为()A.B.3C.3D.66.(2分)如图,在平面直角坐标系xOy中,菱形OABC的顶点C在x轴的正半轴上.若点A的坐标是(3,4),则点B的坐标为()A.(5,4)B.(8,4)C.(5,3)D.(8,3)7.(2分)一次函数y=kx+b中,若kb>0,且y随着x的增大而增大,则其图象可能是()A.B.C.D.8.(2分)如图,等腰△ABC中,点P是底边BC上的动点(不与点B,C重合),过点P分别作AB、AC的平行线PM、PN,交AC、AB于点M、N,则下列数量关系一定正确的是()A.PM+PN=ABB.PM+PN=BCC.PM+PN=2BCD.PM+PN=AB+BC9.(2分)在Rt△ABC中,∠ACB=90°,AC=BC=1,点Q在直线BC上,且AQ=2,则线段BQ的长为()A.B.C.或D.或﹣110.(2分)如图,动点P在边长为2的等边△ABC的边上.它从点A出发,沿A→C→B→A的方向以每秒1个单位长度的速度运动.如果点P的运动时间为t秒,点P与点C之间的距离记为y,那么y与t之间的函数关系用图象表示大致是()A.B.C.D.二、填空题(本题共12分,每小题2分)11.(2分)使二次根式有意义的x的取值范围是.12.(2分)2020年3月北京市16个区的PM2.5的浓度(单位:微克/立方米)统计情况如表:PM2.5的浓度313233353638区的个数312451下面有三个结论:①PM2.5的浓度众数是5;②PM2.5的浓度中位数是35;③PM2.5的浓度平均数约为34.其中正确的是(填写序号).13.(2分)如图,菱形ABCD中,AB=10,AC,BD交于点O,若E是边AD的中点,∠AEO=32°,则OE的长等于,∠ADO的度数为.14.(2分)如图,三角形花园的边界AB,BC互相垂直,若测得∠A=30°,BC的长度为40m,则边界AC的中点D与点B的距离是m.15.(2分)图1中菱形的两条对角线长分别为6和8,将其沿对角线裁分为四个三角形,将这四个三角形无重叠地拼成如图2所示的图形.则图1中菱形的面积等于;图2中间的小四边形的面积等于....

1、当您付费下载文档后,您只拥有了使用权限,并不意味着购买了版权,文档只能用于自身使用,不得用于其他商业用途(如 [转卖]进行直接盈利或[编辑后售卖]进行间接盈利)。
2、本站所有内容均由合作方或网友上传,本站不对文档的完整性、权威性及其观点立场正确性做任何保证或承诺!文档内容仅供研究参考,付费前请自行鉴别。
3、如文档内容存在违规,或者侵犯商业秘密、侵犯著作权等,请点击“违规举报”。

碎片内容

蜗牛文库的最新文档

二年级数学下册其中检测卷二年级数学下册其中检测卷附答案#期中测试卷.pdf
10.00金币
0下载
二年级数学下册期末质检卷(苏教版)二年级数学下册期末质检卷(苏教版)#期末复习 #期末测试卷 #二年级数学 #二年级数学下册#关注我持续更新小学知识.pdf
10.00金币
0下载
二年级数学下册期末混合运算专项练习二年级数学下册期末混合运算专项练习#二年级#二年级数学下册#关注我持续更新小学知识 #知识分享 #家长收藏孩子受益.pdf
10.00金币
1下载
二年级数学下册年月日三类周期问题解题方法二年级数学下册年月日三类周期问题解题方法#二年级#二年级数学下册#知识分享 #关注我持续更新小学知识 #家长收藏孩子受益.pdf
10.00金币
0下载
二年级数学下册解决问题专项训练二年级数学下册解决问题专项训练#专项训练#解决问题#二年级#二年级数学下册#知识分享.pdf
10.00金币
1下载
二年级数学下册还原问题二年级数学下册还原问题#二年级#二年级数学#关注我持续更新小学知识 #知识分享 #家长收藏孩子受益.pdf
10.00金币
1下载
二年级数学下册第六单元考试卷家长打印出来给孩子测试测试争取拿到高分!#小学二年级试卷分享 #二年级第六单考试数学 #第六单考试#二年级数学下册.pdf
10.00金币
0下载
二年级数学下册必背顺口溜口诀汇总二年级数学下册必背顺口溜口诀汇总#二年级#二年级数学下册 #知识分享 #家长收藏孩子受益 #关注我持续更新小学知识.pdf
10.00金币
0下载
二年级数学下册《重点难点思维题》两大问题解决技巧和方法巧算星期几解决周期问题还原问题强化思维训练老师精心整理家长可以打印出来给孩子练习#家长收藏孩子受益 #学霸秘籍 #思维训练 #二年级 #知识点总结.pdf
10.00金币
0下载
二年级数学下册 必背公式大全寒假提前背一背开学更轻松#二年级 #二年级数学 #二年级数学下册 #寒假充电计划 #公式.pdf
10.00金币
0下载
蜗牛文库+ 关注
实名认证
内容提供者

提供各种专业文档内容

确认删除?
QQ
  • QQ点击这里给我发消息
微信客服
  • 微信客服
回到顶部