电脑桌面
添加蜗牛文库到电脑桌面
安装后可以在桌面快捷访问

8.6.3 平面与平面垂直(课件)-2022-2023学年高一数学同步精品课堂(人教A版2019必修第二册).pptxVIP免费

8.6.3 平面与平面垂直(课件)-2022-2023学年高一数学同步精品课堂(人教A版2019必修第二册).pptx8.6.3 平面与平面垂直(课件)-2022-2023学年高一数学同步精品课堂(人教A版2019必修第二册).pptx8.6.3 平面与平面垂直(课件)-2022-2023学年高一数学同步精品课堂(人教A版2019必修第二册).pptx8.6.3 平面与平面垂直(课件)-2022-2023学年高一数学同步精品课堂(人教A版2019必修第二册).pptx
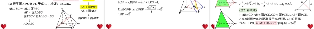
8.6.3平面与平面垂直1.二面角的定义(1)二面角的定义:从一条直线出发的两个半平面所组成的图形叫做二面角.这条直线叫做二面角的棱,这两个半平面叫做二面角的面.ablABPQ记作二面角a-l-b二面角a-AB-b二面角P-l-Q二面角P-AB-Q二面角C-AB-D1.二面角的平面角的定义(2)二面角的平面角:以二面角的棱上任意一点为端点,在两个半平面内分别作垂直于棱的两条射线,这两条射线所成的角叫做二面角的平面角.二面角的范围:0≤θ≤πlβα棱l上取一点O,在半平面a内作OA⊥l,在半平面b内作OB⊥l,则∠AOB是二面角a-l-b的平面角.ABOablABO·ablABO·1.二面角及其平面角(1)二面角:两个半平面及其棱所成角.ablABPQ二面角a-l-b二面角a-AB-b二面角P-l-Q二面角C-AB-D①记法:②范围:[0o,180o]③求法:棱l上取一点O,在a内作OA⊥l,在b内作OB⊥l,则∠AOB是二面角a-l-b的平面角.1.求二面角的平面角.,,:111的平面角是二面角解CABCBCCABCBABBC45D1B1ABDA1C1CACB'A'D'DC'BBDCA[例]正方体ABCD-A1B1C1D1中,面C1D1AB与底面ABCD所成二面角C1-AB-C的大小为_______.CD1DBAA1B1C145°2.面面垂直的定义(2)面面垂直的定义:若两个相交平面所成的二面角是直二面角,就说这两个平面互相垂直.记作:a⊥b(平面角是直角的二面角叫做直二面角)画两个平面垂直,一般应把直立平面的竖边画成和水平平面的横边垂直.baADBCbaABDC注:(异面)直线a,b分别和一个二面角的两个面垂直,则直线a,b所成角与这个二面角的平面角相等或互补.3.面面垂直的判定定理(3)面面垂直的判定定理:一个平面过另一个平面的垂线,则这两个平面垂直.符号:ablC1D1B1A1ABDC[练习1]正方体ABCD-A1B1C1D1中,求证:平面A1DB⊥平面A1ACC1.OAPBC[练习2]AB是圆O的直径,PA垂直于圆O所在的平面,C是圆周上不同于A,B的任意一点,求证:平面PAC⊥平面PBC.11))(1(ACCABD面证BDABD1面PACBC面证))(2(PBCBC面lmn线线垂直线面垂直性质定理定义面面垂直等腰△的高垂直于底边勾股定理逆定理求三边90所成角为平移至相交求异面直线判定定理判定定理OCD1DBAA1B1C1OAPBC性质定理线线平行NMCD1DBAA1B1C1.,,,,,lnmPnmnlml则若.,,则若ll.,,mlml则若.//,,baba则若4.面面垂直的性质定理(4)面面垂直的性质定理:两个平面垂直,则一个平面内垂直于交线的直线与另一个平面垂直.若α⊥β,α∩β=m,则β内任意一条直线l与m有什么关系?相应的l与面α有什么位置关系?①l//m...

1、当您付费下载文档后,您只拥有了使用权限,并不意味着购买了版权,文档只能用于自身使用,不得用于其他商业用途(如 [转卖]进行直接盈利或[编辑后售卖]进行间接盈利)。
2、本站所有内容均由合作方或网友上传,本站不对文档的完整性、权威性及其观点立场正确性做任何保证或承诺!文档内容仅供研究参考,付费前请自行鉴别。
3、如文档内容存在违规,或者侵犯商业秘密、侵犯著作权等,请点击“违规举报”。

碎片内容

蜗牛文库的最新文档

二年级数学下册其中检测卷二年级数学下册其中检测卷附答案#期中测试卷.pdf
10.00金币
0下载
二年级数学下册期末质检卷(苏教版)二年级数学下册期末质检卷(苏教版)#期末复习 #期末测试卷 #二年级数学 #二年级数学下册#关注我持续更新小学知识.pdf
10.00金币
0下载
二年级数学下册期末混合运算专项练习二年级数学下册期末混合运算专项练习#二年级#二年级数学下册#关注我持续更新小学知识 #知识分享 #家长收藏孩子受益.pdf
10.00金币
1下载
二年级数学下册年月日三类周期问题解题方法二年级数学下册年月日三类周期问题解题方法#二年级#二年级数学下册#知识分享 #关注我持续更新小学知识 #家长收藏孩子受益.pdf
10.00金币
0下载
二年级数学下册解决问题专项训练二年级数学下册解决问题专项训练#专项训练#解决问题#二年级#二年级数学下册#知识分享.pdf
10.00金币
1下载
二年级数学下册还原问题二年级数学下册还原问题#二年级#二年级数学#关注我持续更新小学知识 #知识分享 #家长收藏孩子受益.pdf
10.00金币
1下载
二年级数学下册第六单元考试卷家长打印出来给孩子测试测试争取拿到高分!#小学二年级试卷分享 #二年级第六单考试数学 #第六单考试#二年级数学下册.pdf
10.00金币
0下载
二年级数学下册必背顺口溜口诀汇总二年级数学下册必背顺口溜口诀汇总#二年级#二年级数学下册 #知识分享 #家长收藏孩子受益 #关注我持续更新小学知识.pdf
10.00金币
0下载
二年级数学下册《重点难点思维题》两大问题解决技巧和方法巧算星期几解决周期问题还原问题强化思维训练老师精心整理家长可以打印出来给孩子练习#家长收藏孩子受益 #学霸秘籍 #思维训练 #二年级 #知识点总结.pdf
10.00金币
0下载
二年级数学下册 必背公式大全寒假提前背一背开学更轻松#二年级 #二年级数学 #二年级数学下册 #寒假充电计划 #公式.pdf
10.00金币
0下载
蜗牛文库+ 关注
实名认证
内容提供者

提供各种专业文档内容

确认删除?
QQ
  • QQ点击这里给我发消息
微信客服
  • 微信客服
回到顶部