电脑桌面
添加蜗牛文库到电脑桌面
安装后可以在桌面快捷访问

A 巩固练习.docVIP免费

A 巩固练习.doc_第1页
A 巩固练习.doc_第2页
A 巩固练习.doc_第3页
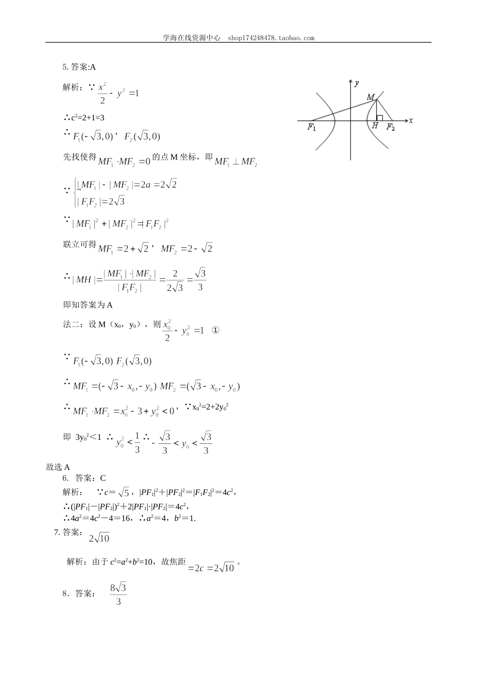
学海在线资源中心shop174248478.taobao.com【巩固练习】一、选择题1.“ab<0”是“方程ax2+by2=c表示双曲线”的()A.必要条件但不是充分条件B.充分条件但不是必要条件C.充分必要条件D.既不是充分条件又不是必要条件2.平面内到两定点E、F的距离之差的绝对值等于|EF|的点的轨迹是()A.双曲线B.一条直线C.一条线段D.两条射线3.(2016宜宾县模拟改编)若方程表示的焦点在x轴上的双曲线,则m的取值范围为().A.B.C.D.4.(2015春三峡区校级期中)设θ是ΔABC的一个内角,且,表示()A.焦点在x轴上的椭圆B.焦点在y轴上的椭圆C.焦点在x轴上的双曲线D.焦点在y轴上的双曲线5.(2015新课标Ⅰ)已知是双曲线上的一点,是的两个焦点,若,则的取值范围是()(A)(B)(C)(D)6.已知双曲线的两个焦点为F1(,0)、F2(,0),P是此双曲线上的一点,且PF1⊥PF2,|PF1|·|PF2|=2,则该双曲线的方程是()A.B.C.D.二、填空题7.(2016江苏)在平面直角坐标系xOy中,双曲线的焦距为____________.8.过双曲线的焦点且与x轴垂直的弦的长度为________.9.如果椭圆与双曲线的焦点相同,那么a=________.10.一动圆过定点A(-4,0),且与定圆B:(x-4)2+y2=16相外切,则动圆圆心的轨迹方程为________.三、解答题学海在线资源中心shop174248478.taobao.com11.设声速为a米/秒,在相距10a米的A、B两哨所,听到炮弹爆炸声的时间差6秒,求炮弹爆炸点所在曲线的方程.12.已知双曲线中心在原点,一个焦点为F1(,0),点P在该双曲线上,线段PF1的中点坐标为(0,2),求双曲线的方程.13.已知定点A(0,7)、B(0,-7)、C(12,2),以C为一个焦点作过A、B的椭圆,求椭圆的另一焦点F的轨迹方程.14.若椭圆(m>n>0)和双曲线(a>0,b>0)有相同的焦点,P是两曲线的一个交点,求|PF1|·|PF2|的值.15.如图,已知双曲线的离心率为2,F1,F2为左、右焦点,P为双曲线上的点,∠F1PF2=60°,,求双曲线的标准方程.【答案与解析】1.答案:A解析:若方程ax2+by2=c表示双曲线,即=1表示双曲线,只要<0,得ab<0,这就是说“ab<0”是必要条件;然而若ab<0,c可以等于0,即ab<0不是充分条件.故选A.2.答案:D解析:根据定义。3.答案:A解析: 方程表示焦点在x轴上的双曲线,∴,∴m>2。故选:A。4.答案:B解析:因为,且,两边平方可得,,可判断θ为钝角,,所以,且,所以表示焦点在y轴上的椭圆,故选:B.学海在线资源中心shop174248478.taobao.com5.答案:A解析: ∴c2=2+1=3∴,先找使得的点M坐标...

1、当您付费下载文档后,您只拥有了使用权限,并不意味着购买了版权,文档只能用于自身使用,不得用于其他商业用途(如 [转卖]进行直接盈利或[编辑后售卖]进行间接盈利)。
2、本站所有内容均由合作方或网友上传,本站不对文档的完整性、权威性及其观点立场正确性做任何保证或承诺!文档内容仅供研究参考,付费前请自行鉴别。
3、如文档内容存在违规,或者侵犯商业秘密、侵犯著作权等,请点击“违规举报”。

碎片内容

蜗牛文库的最新文档

二年级数学下册其中检测卷二年级数学下册其中检测卷附答案#期中测试卷.pdf
10.00金币
0下载
二年级数学下册期末质检卷(苏教版)二年级数学下册期末质检卷(苏教版)#期末复习 #期末测试卷 #二年级数学 #二年级数学下册#关注我持续更新小学知识.pdf
10.00金币
0下载
二年级数学下册期末混合运算专项练习二年级数学下册期末混合运算专项练习#二年级#二年级数学下册#关注我持续更新小学知识 #知识分享 #家长收藏孩子受益.pdf
10.00金币
1下载
二年级数学下册年月日三类周期问题解题方法二年级数学下册年月日三类周期问题解题方法#二年级#二年级数学下册#知识分享 #关注我持续更新小学知识 #家长收藏孩子受益.pdf
10.00金币
0下载
二年级数学下册解决问题专项训练二年级数学下册解决问题专项训练#专项训练#解决问题#二年级#二年级数学下册#知识分享.pdf
10.00金币
1下载
二年级数学下册还原问题二年级数学下册还原问题#二年级#二年级数学#关注我持续更新小学知识 #知识分享 #家长收藏孩子受益.pdf
10.00金币
1下载
二年级数学下册第六单元考试卷家长打印出来给孩子测试测试争取拿到高分!#小学二年级试卷分享 #二年级第六单考试数学 #第六单考试#二年级数学下册.pdf
10.00金币
0下载
二年级数学下册必背顺口溜口诀汇总二年级数学下册必背顺口溜口诀汇总#二年级#二年级数学下册 #知识分享 #家长收藏孩子受益 #关注我持续更新小学知识.pdf
10.00金币
0下载
二年级数学下册《重点难点思维题》两大问题解决技巧和方法巧算星期几解决周期问题还原问题强化思维训练老师精心整理家长可以打印出来给孩子练习#家长收藏孩子受益 #学霸秘籍 #思维训练 #二年级 #知识点总结.pdf
10.00金币
0下载
二年级数学下册 必背公式大全寒假提前背一背开学更轻松#二年级 #二年级数学 #二年级数学下册 #寒假充电计划 #公式.pdf
10.00金币
0下载
蜗牛文库+ 关注
实名认证
内容提供者

提供各种专业文档内容

确认删除?
QQ
  • QQ点击这里给我发消息
微信客服
  • 微信客服
回到顶部