电脑桌面
添加蜗牛文库到电脑桌面
安装后可以在桌面快捷访问

第4章 狭义相对论基础(1).pptVIP免费

第4章 狭义相对论基础(1).ppt第4章 狭义相对论基础(1).ppt第4章 狭义相对论基础(1).ppt第4章 狭义相对论基础(1).ppt第4章 狭义相对论基础(1).ppt
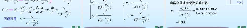
1第四章狭义相对论基础21905年爱因斯坦发表了《论动体的电动力学》,宣告了相对论的诞生。不少物理学家认为物理学的大厦已基本建成,物理理论上的一些原则问题已经解决,今后的任务就是在已知规律的公式中的小数点后面加上几位数字就行了。但是,在物理学晴朗的天空上仍飘浮着两朵乌云:经典力学无法解释—迈克尔逊莫雷实验“”的零结果和黑体辐射的实验结果。十九世纪末期,物理学的经典理论已经基本完善了。这两朵乌云带来了物理学的一场大革命,迎来了近代物理的新时期,诞生了相对论和量子力学。3§4.1经典力学时空观4.1.1经典力学时空观问题:相对于不同的参考系,长度和时间的测量结果是一样的吗?在牛顿力学(经典力学)里,时间和长度都被认为与物体的运动状态无关,或者说,与在哪一个参考系中进行测量无关,牛顿的这种时空观称为绝对时空观。这种时空观认为时间和空间是绝对的。同样两点的距离或同样的前后两个事件之间的时间间隔无论在哪个惯性系中测量都是一样的。而且时间和空间是彼此独立、没有任何联系的。44.1.2伽利略变换问题:对于不同的参考系,基本力学定律的形式是完全一样的吗?1.力学相对性原理力学相对性原理:在不同的惯性系里力学定律的形式都是一样的。或者说,力学规律对于一切惯性参考系都是等价的。在任何惯性系中观察同一力学现象都将按同样的形式发生和演化,在任一惯性系中进行力学实验都将得到同样的结果。不能借助于力学实验来发现系统的惯性运动。反映力学相对性原理以及与之直接联系的绝对时空观的变换关系是伽利略变换。5引言:运动是绝对的,而描述运动具有相对性位移、速度、加速度等都要加上“相对”二字--相对位移、相对速度、相对加速度。为明确表示一物体的速度是相对什么物体而言,通常用双脚标表示。甲乙v…..甲对乙的速度,甲是运动物体,乙是参照系ABa…..A相对B的加速度,A为运动物体,B是参照系研究的问题:在两个有相互平动的参照系中考察同一物理事件,对同一事件的描述存在怎样的变换关系?2.相对运动(第一章第3节)6两个相互平动的参照系S和S′。在S系中建立直角坐标系o-xyz,在S′系中建立直角坐标系o′-x′y′z′。某时刻,质点在P点(看成一事件)速度和加速度分别为:POPOav,速度和加速度分别为:POr质点相对于S系的位矢为:'POr质点相对于S′系的位矢为:OPOPav,下面研究同一质点在有相对平动的两个参考系中的位矢、位移、速度和加速度之间的变换关系。7OOPOPOrrr''...

1、当您付费下载文档后,您只拥有了使用权限,并不意味着购买了版权,文档只能用于自身使用,不得用于其他商业用途(如 [转卖]进行直接盈利或[编辑后售卖]进行间接盈利)。
2、本站所有内容均由合作方或网友上传,本站不对文档的完整性、权威性及其观点立场正确性做任何保证或承诺!文档内容仅供研究参考,付费前请自行鉴别。
3、如文档内容存在违规,或者侵犯商业秘密、侵犯著作权等,请点击“违规举报”。

碎片内容

蜗牛文库的最新文档

二年级数学下册其中检测卷二年级数学下册其中检测卷附答案#期中测试卷.pdf
10.00金币
0下载
二年级数学下册期末质检卷(苏教版)二年级数学下册期末质检卷(苏教版)#期末复习 #期末测试卷 #二年级数学 #二年级数学下册#关注我持续更新小学知识.pdf
10.00金币
0下载
二年级数学下册期末混合运算专项练习二年级数学下册期末混合运算专项练习#二年级#二年级数学下册#关注我持续更新小学知识 #知识分享 #家长收藏孩子受益.pdf
10.00金币
1下载
二年级数学下册年月日三类周期问题解题方法二年级数学下册年月日三类周期问题解题方法#二年级#二年级数学下册#知识分享 #关注我持续更新小学知识 #家长收藏孩子受益.pdf
10.00金币
0下载
二年级数学下册解决问题专项训练二年级数学下册解决问题专项训练#专项训练#解决问题#二年级#二年级数学下册#知识分享.pdf
10.00金币
1下载
二年级数学下册还原问题二年级数学下册还原问题#二年级#二年级数学#关注我持续更新小学知识 #知识分享 #家长收藏孩子受益.pdf
10.00金币
1下载
二年级数学下册第六单元考试卷家长打印出来给孩子测试测试争取拿到高分!#小学二年级试卷分享 #二年级第六单考试数学 #第六单考试#二年级数学下册.pdf
10.00金币
0下载
二年级数学下册必背顺口溜口诀汇总二年级数学下册必背顺口溜口诀汇总#二年级#二年级数学下册 #知识分享 #家长收藏孩子受益 #关注我持续更新小学知识.pdf
10.00金币
0下载
二年级数学下册《重点难点思维题》两大问题解决技巧和方法巧算星期几解决周期问题还原问题强化思维训练老师精心整理家长可以打印出来给孩子练习#家长收藏孩子受益 #学霸秘籍 #思维训练 #二年级 #知识点总结.pdf
10.00金币
0下载
二年级数学下册 必背公式大全寒假提前背一背开学更轻松#二年级 #二年级数学 #二年级数学下册 #寒假充电计划 #公式.pdf
10.00金币
0下载
蜗牛文库+ 关注
实名认证
内容提供者

提供各种专业文档内容

确认删除?
QQ
  • QQ点击这里给我发消息
微信客服
  • 微信客服
回到顶部