电脑桌面
添加蜗牛文库到电脑桌面
安装后可以在桌面快捷访问

绗簲绔�---浼犵儹.pptxVIP免费

绗簲绔�---浼犵儹.pptx绗簲绔�---浼犵儹.pptx绗簲绔�---浼犵儹.pptx绗簲绔�---浼犵儹.pptx绗簲绔�---浼犵儹.pptx
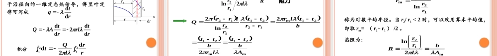
第五章传热杨臣福州大学石油化工学院5.1概述其它设备60%传热设备40%物料的加热与冷却;热量与冷量的回收利用;设备和管路的保温。5.1.1工业生产中的三类传热过程传热效果好,传热速率大传热效果差,传热速率小5.1概述5.1.2生活中的“传热学”传热的三种方式5.1概述5.1.3热量传递的三种基本方式基本特点热量从物体内温度较高的部分传递到温度较低的部分或传递到与之接触的温度较低的另一物体的过程称为热传导,简称导热。热传导传热的三种方式5.1概述5.1.3热量传递的三种基本方式基本特点流体各部分质点发生相对位移而引起的热量传递过程,只能发生在流体中。热对流传热的三种方式5.1概述5.1.3热量传递的三种基本方式基本特点因热的原因而发出辐射能的过程称为热辐射。辐射能的传播不需要任何物质作为媒介,但是只有在高温下辐射才能成为主要的传热方式。热辐射5.1概述5.1概述5.1.4传热的基本概念(1)热流量单位时间内通过传热面积传递的热量Q(J/s,即W);(2)热通量单位时间、单位传热面积上传递的热量q(W/m2);(3)非稳态、稳态传热过程t=f(x,y,z,θ)温度不仅与空间位置还与时间有关,为非稳态传热;t=f(x,y,z)温度只与空间位置有关与时间无关,为稳态传热。5.2热传导(HEATCONDUCTION)(1)温度场(Temperaturefield)物体(或空间)各点温度在时空中的分布称为温度场。t=f(x,y,z,θ)温度相同的点所组成的面称为等温面。温度不同的等温面不可能相交,为什么?5.2.1傅里叶定律(Fourier’slaw)ntntn0lim(2)温度梯度两等温面的温度差Δt与其间的垂直距离Δn之比在Δn趋于零时的极限,即nqttttt5.2热传导(HEATCONDUCTION)低温端高温端qLxy5.2.1傅里叶定律(Fourier’slaw)傅里叶定律是用以确定在物体各点间存在温度差时,因热传导而产生的热流大小的定律。单位时间内,单位传热面积上传递的热量即热通量与温度梯度成正比,热导率,W/m•℃ntqntAQ传热速率不仅与温度梯度成正比,还与传热面积成正比,即5.2.2导热系数(THERMALCONDUCTIVITY)物质λ[W/mK]空气0.024水0.55铁70铝200表1导热系数(1个大气压,0°C)影响导热系数的原因:种类、温度、结构、湿度、密度傅里叶定律给出了导热系数的定义:W/m·K物理意义:表征物质的导热能力大小。ntq同一种物质的导热系数也会因其状态参数的不同而改变,因而导热系数是物质温度和压力的函数。一般把导热系数仅仅视为温...

1、当您付费下载文档后,您只拥有了使用权限,并不意味着购买了版权,文档只能用于自身使用,不得用于其他商业用途(如 [转卖]进行直接盈利或[编辑后售卖]进行间接盈利)。
2、本站所有内容均由合作方或网友上传,本站不对文档的完整性、权威性及其观点立场正确性做任何保证或承诺!文档内容仅供研究参考,付费前请自行鉴别。
3、如文档内容存在违规,或者侵犯商业秘密、侵犯著作权等,请点击“违规举报”。

碎片内容

蜗牛文库的最新文档

二年级数学下册其中检测卷二年级数学下册其中检测卷附答案#期中测试卷.pdf
10.00金币
0下载
二年级数学下册期末质检卷(苏教版)二年级数学下册期末质检卷(苏教版)#期末复习 #期末测试卷 #二年级数学 #二年级数学下册#关注我持续更新小学知识.pdf
10.00金币
0下载
二年级数学下册期末混合运算专项练习二年级数学下册期末混合运算专项练习#二年级#二年级数学下册#关注我持续更新小学知识 #知识分享 #家长收藏孩子受益.pdf
10.00金币
1下载
二年级数学下册年月日三类周期问题解题方法二年级数学下册年月日三类周期问题解题方法#二年级#二年级数学下册#知识分享 #关注我持续更新小学知识 #家长收藏孩子受益.pdf
10.00金币
0下载
二年级数学下册解决问题专项训练二年级数学下册解决问题专项训练#专项训练#解决问题#二年级#二年级数学下册#知识分享.pdf
10.00金币
1下载
二年级数学下册还原问题二年级数学下册还原问题#二年级#二年级数学#关注我持续更新小学知识 #知识分享 #家长收藏孩子受益.pdf
10.00金币
1下载
二年级数学下册第六单元考试卷家长打印出来给孩子测试测试争取拿到高分!#小学二年级试卷分享 #二年级第六单考试数学 #第六单考试#二年级数学下册.pdf
10.00金币
0下载
二年级数学下册必背顺口溜口诀汇总二年级数学下册必背顺口溜口诀汇总#二年级#二年级数学下册 #知识分享 #家长收藏孩子受益 #关注我持续更新小学知识.pdf
10.00金币
0下载
二年级数学下册《重点难点思维题》两大问题解决技巧和方法巧算星期几解决周期问题还原问题强化思维训练老师精心整理家长可以打印出来给孩子练习#家长收藏孩子受益 #学霸秘籍 #思维训练 #二年级 #知识点总结.pdf
10.00金币
0下载
二年级数学下册 必背公式大全寒假提前背一背开学更轻松#二年级 #二年级数学 #二年级数学下册 #寒假充电计划 #公式.pdf
10.00金币
0下载
蜗牛文库+ 关注
实名认证
内容提供者

提供各种专业文档内容

确认删除?
QQ
  • QQ点击这里给我发消息
微信客服
  • 微信客服
回到顶部