电脑桌面
添加蜗牛文库到电脑桌面
安装后可以在桌面快捷访问

第一节 微分中值定理(1).pptVIP免费

第一节 微分中值定理(1).ppt第一节 微分中值定理(1).ppt第一节 微分中值定理(1).ppt第一节 微分中值定理(1).ppt第一节 微分中值定理(1).ppt
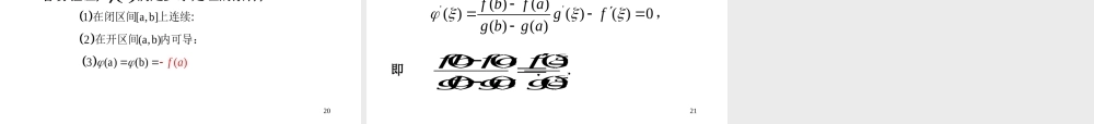
1微分中值定理和导数的应用第四章2微分中值定理的核心是拉格朗日(Lagrange)中值定理,费马定理是它的预备定理,罗尔定理是它的特例,柯西定理是它的推广。1.预备定理——费马(Fermat)定理.0)()(),()(000xfxxfxbaxf可导,则在点且取得最值,内一点在若函数费马(Fermat,1601-1665),法国人,与笛卡尔共同创立解析几何。因提出费马大、小定理而著名于世。第一节微分中值定理3xyo)(xfy12几何解释:1.预备定理——费马(Fermat)定理.0)()(),()(000xfxxfxbaxf可导,则在点且取得最值,内一点在若函数曲线在最高点或最低点如果有切线,则切线必然是水平的。4证明:达到最大值证明。在只就0)(xxf),()(,),()(0000xfxxfbaxxxxf就有内在达到最大值,所以只要在由于,0)()(00xfxxf即;0,0)()(00时当从而xxxfxxf;0,0)()(00时当xxxfxxf0)()(lim)(000x0xxfxxfxf这样.0)()(lim)(000x0xxfxxfxf.0)(0xf所以可导,在点而0)(xxf极限的保号性52.罗尔(Rolle)定理xOyCabyf(x)AB几何解释:如果连续光滑的曲线yf(x)在端点A、B处的纵坐标相等。那么,在曲线弧上至少有一点C(,f()),曲线在C点的切线是水平的。如果函数yf(x)满足条件:(1)在闭区间[a,b]上连续,(2)在开区间(a,b)内可导,(3)f(a)f(b),则至少存在一点(a,b),使得f()0。6证.)1(mM若,],[)(连续在baxf.mM和最小值必有最大值.)(Mxf则.0)(xf由此得),,(ba.0)(f都有.)2(mM若),()(bfaf.)(),(Mfba使,则不妨设由费马引理,.0)(f所以最大值和最小值不可能同时在端点取得。7注意:f(x)不满足条件(1)f(x)不满足条件(3)f(x)不满足条件(2)BxOyAabxOyABabcxOyABab如果定理的三个条件有一个不满足,则定理的结论就可能不成立。8例1验证2()x43[0,4]Rfxxoll验证函数在闭区间满足定理的条件,并求出定理中的1[a,b]在闭区间上连续:2(a,b)在开区间内可导:初等函数在定义区间(-,+)连续,特别在[0,4]连续'f()24xx3f(a)f(b):f(0)=f(4)=3'f()0解方程:2-40=29例2试证方程恰有一个实根3f()xxxC证明:3231limf()1xCxxxxA,=1>0对根据极限的定义,于3231limf()1xCxxxx1110,xf()1,(2)1.MMxfM当时,特别2210,x<-f()1,(2)1.MMxfM...

1、当您付费下载文档后,您只拥有了使用权限,并不意味着购买了版权,文档只能用于自身使用,不得用于其他商业用途(如 [转卖]进行直接盈利或[编辑后售卖]进行间接盈利)。
2、本站所有内容均由合作方或网友上传,本站不对文档的完整性、权威性及其观点立场正确性做任何保证或承诺!文档内容仅供研究参考,付费前请自行鉴别。
3、如文档内容存在违规,或者侵犯商业秘密、侵犯著作权等,请点击“违规举报”。

碎片内容

蜗牛文库的最新文档

二年级数学下册其中检测卷二年级数学下册其中检测卷附答案#期中测试卷.pdf
10.00金币
0下载
二年级数学下册期末质检卷(苏教版)二年级数学下册期末质检卷(苏教版)#期末复习 #期末测试卷 #二年级数学 #二年级数学下册#关注我持续更新小学知识.pdf
10.00金币
0下载
二年级数学下册期末混合运算专项练习二年级数学下册期末混合运算专项练习#二年级#二年级数学下册#关注我持续更新小学知识 #知识分享 #家长收藏孩子受益.pdf
10.00金币
1下载
二年级数学下册年月日三类周期问题解题方法二年级数学下册年月日三类周期问题解题方法#二年级#二年级数学下册#知识分享 #关注我持续更新小学知识 #家长收藏孩子受益.pdf
10.00金币
0下载
二年级数学下册解决问题专项训练二年级数学下册解决问题专项训练#专项训练#解决问题#二年级#二年级数学下册#知识分享.pdf
10.00金币
1下载
二年级数学下册还原问题二年级数学下册还原问题#二年级#二年级数学#关注我持续更新小学知识 #知识分享 #家长收藏孩子受益.pdf
10.00金币
1下载
二年级数学下册第六单元考试卷家长打印出来给孩子测试测试争取拿到高分!#小学二年级试卷分享 #二年级第六单考试数学 #第六单考试#二年级数学下册.pdf
10.00金币
0下载
二年级数学下册必背顺口溜口诀汇总二年级数学下册必背顺口溜口诀汇总#二年级#二年级数学下册 #知识分享 #家长收藏孩子受益 #关注我持续更新小学知识.pdf
10.00金币
0下载
二年级数学下册《重点难点思维题》两大问题解决技巧和方法巧算星期几解决周期问题还原问题强化思维训练老师精心整理家长可以打印出来给孩子练习#家长收藏孩子受益 #学霸秘籍 #思维训练 #二年级 #知识点总结.pdf
10.00金币
0下载
二年级数学下册 必背公式大全寒假提前背一背开学更轻松#二年级 #二年级数学 #二年级数学下册 #寒假充电计划 #公式.pdf
10.00金币
0下载
蜗牛文库+ 关注
实名认证
内容提供者

提供各种专业文档内容

确认删除?
QQ
  • QQ点击这里给我发消息
微信客服
  • 微信客服
回到顶部