电脑桌面
添加蜗牛文库到电脑桌面
安装后可以在桌面快捷访问

第一节 定积分的概念与性质(1).pptVIP免费

第一节 定积分的概念与性质(1).ppt第一节 定积分的概念与性质(1).ppt第一节 定积分的概念与性质(1).ppt第一节 定积分的概念与性质(1).ppt第一节 定积分的概念与性质(1).ppt
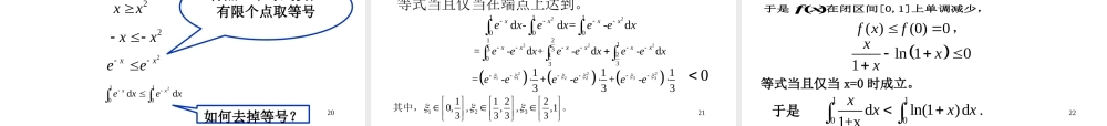
1第六章定积分2abxyo?A曲边梯形由连续曲线实例:求曲边梯形的面积)(xfy)0)((xf、x轴与两条直线ax、bx所围成.)(xfy一、问题的提出第一节定积分的概念与性质3abxyoabxyo用矩形面积近似取代曲边梯形面积显然,小矩形越多,矩形总面积越接近曲边梯形面积.(四个小矩形)(九个小矩形)4观察下列演示过程,注意当分割加细时,矩形面积和与曲边梯形面积的关系.播放播放5,1210bxxxxxann个分点,曲边梯形如图所示,内插入若干在区间],[baabxyoiix1x1ix1nx;],[],[11iiiiixxxxxnba长度为,个小区间分成把区间,上任取一点在每个小区间iiixx],[1iiixfA)(为高的小矩形面积为为底,以)(],[1iiifxx分割近似6iniixfA)(1曲边梯形面积的近似值为iniixfA)(lim10时,趋近于零即小区间的最大长度当分割无限加细)0(},,max{,21nxxx曲边梯形面积为求和取极限(1)分割(3)求和(4)极限(2)近似7设函数)(xf在],[ba上有界,记},,,max{21nxxx,如果不论对],[ba在],[ba中任意插入若干个分点,bxxxxxann1210把区间],[ba分成n个小区间,各小区间的长度依次为1iiixxx,),2,1(i,在各小区间上任取一点作和iinixfS)(1,二、定积分的定义定义怎样的分法,也不论在小区间],[1iixx上点i怎样的取法,若iinixf)(lim10存在,,]),[(1iiiixx8iinibaxfxxf)(limd)(10被积函数被积表达式积分变量:积分区间],[ba我们称这个极限为函数)(xf在区间],[ba上的定积分,记为积分上限积分下限积分和9说明:baxxfd)(battfd)(bauufd)(1.baxxfd)(是一个数值,它只与被积函数)(xf与积分区间],[ba有关,而与积分变量用什么字母无关,如2.有界是可积的必要条件,无界函数一定不可积;3.可积的充分条件:闭区间],[ba上连续的函数必在],[ba是可积的;],[ba上有有限个间断点的有界函数在],[ba也可积.104.规定:(1)当ba时,0d)(baxxf;(2)当ab时,abbaxxfxxfd)(d)(.5.由定义不难得到:.d1abxbaiinibaxfxxf)(limd)(1011三、定积分的几何意义,0)(xfbaAxxfd)(曲边梯形的面积,0)(xfbaAxxfd)(曲边梯形的面积的负值)(xfybyoxa)(xfybyoxa12例1利用定义计算定积分.d102xx解每个小区间的长度均为n1,取右端点nii,(ni,,2,1)iininx...

1、当您付费下载文档后,您只拥有了使用权限,并不意味着购买了版权,文档只能用于自身使用,不得用于其他商业用途(如 [转卖]进行直接盈利或[编辑后售卖]进行间接盈利)。
2、本站所有内容均由合作方或网友上传,本站不对文档的完整性、权威性及其观点立场正确性做任何保证或承诺!文档内容仅供研究参考,付费前请自行鉴别。
3、如文档内容存在违规,或者侵犯商业秘密、侵犯著作权等,请点击“违规举报”。

碎片内容

蜗牛文库的最新文档

二年级数学下册其中检测卷二年级数学下册其中检测卷附答案#期中测试卷.pdf
10.00金币
0下载
二年级数学下册期末质检卷(苏教版)二年级数学下册期末质检卷(苏教版)#期末复习 #期末测试卷 #二年级数学 #二年级数学下册#关注我持续更新小学知识.pdf
10.00金币
0下载
二年级数学下册期末混合运算专项练习二年级数学下册期末混合运算专项练习#二年级#二年级数学下册#关注我持续更新小学知识 #知识分享 #家长收藏孩子受益.pdf
10.00金币
1下载
二年级数学下册年月日三类周期问题解题方法二年级数学下册年月日三类周期问题解题方法#二年级#二年级数学下册#知识分享 #关注我持续更新小学知识 #家长收藏孩子受益.pdf
10.00金币
0下载
二年级数学下册解决问题专项训练二年级数学下册解决问题专项训练#专项训练#解决问题#二年级#二年级数学下册#知识分享.pdf
10.00金币
1下载
二年级数学下册还原问题二年级数学下册还原问题#二年级#二年级数学#关注我持续更新小学知识 #知识分享 #家长收藏孩子受益.pdf
10.00金币
1下载
二年级数学下册第六单元考试卷家长打印出来给孩子测试测试争取拿到高分!#小学二年级试卷分享 #二年级第六单考试数学 #第六单考试#二年级数学下册.pdf
10.00金币
0下载
二年级数学下册必背顺口溜口诀汇总二年级数学下册必背顺口溜口诀汇总#二年级#二年级数学下册 #知识分享 #家长收藏孩子受益 #关注我持续更新小学知识.pdf
10.00金币
0下载
二年级数学下册《重点难点思维题》两大问题解决技巧和方法巧算星期几解决周期问题还原问题强化思维训练老师精心整理家长可以打印出来给孩子练习#家长收藏孩子受益 #学霸秘籍 #思维训练 #二年级 #知识点总结.pdf
10.00金币
0下载
二年级数学下册 必背公式大全寒假提前背一背开学更轻松#二年级 #二年级数学 #二年级数学下册 #寒假充电计划 #公式.pdf
10.00金币
0下载
蜗牛文库+ 关注
实名认证
内容提供者

提供各种专业文档内容

确认删除?
QQ
  • QQ点击这里给我发消息
微信客服
  • 微信客服
回到顶部