电脑桌面
添加蜗牛文库到电脑桌面
安装后可以在桌面快捷访问

04184线性代数(经管类).docxVIP免费

04184线性代数(经管类).docx_第1页
04184线性代数(经管类).docx_第2页
04184线性代数(经管类).docx_第3页
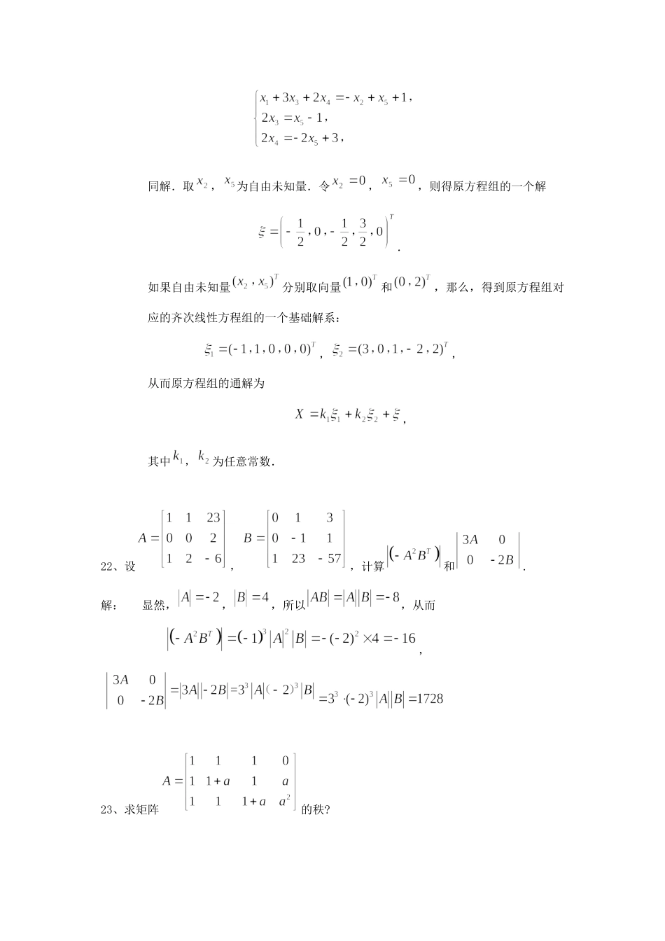
《线性代数(经管类)》复习资料(课程代码:04184)知识点汇总:1、设都是可逆矩阵,则下列等式不成立的是2、设矩阵,则的特征值为-1,-33、设BA,均是n阶方阵,则必有BAAB4、设A为n阶方阵,且AA2,则A的特征值只有0和15、线性方程组只有零解(有唯一解)的充要条件是6、设是可逆矩阵,则7、设为可逆矩阵,则与必有相同特征值的矩阵为8、向量空间的维数等于2。9、向量空间的一组基就是向量组的一个极大线性无关组10、二次型是正定二次型11、设,,…,n为阶矩阵的行(列)向量组,则向量组,,…,线性相关的充分必要条件是12、若行列式中有两行(列)元素对应相等,则的值为013、已知A相似与,则=-214、=6。15、设A为正交阵,则A116、17、设3阶矩阵A的行列式|A|=2,则|2A|=1618、设A为n阶矩阵,B为n阶非零矩阵,若B的每一列向量都是齐次线性方程组Ax=0的解,则|A|=0。19、设,则20、,,则AB=。21、求下列线性方程组的通解:解:设和分别为方程组的系数矩阵和增广矩阵.对施以初等行变换:.于是,方程组有无穷多组解,且原方程组与同解.取,为自由未知量.令,,则得原方程组的一个解.如果自由未知量分别取向量和,那么,得到原方程组对应的齐次线性方程组的一个基础解系:,,从而原方程组的通解为,其中,为任意常数.22、设,,计算和.解:显然,,,所以,从而,23、求矩阵的秩?解:当时,,则;当时,通过初等行变换将化为阶梯形故当时,.24、已知矩阵与相似,求常数和之值,并计算.解:因为与相似,所以与有相同的特征值.根据特征值的性质,得,即.因为,所以,即.因为,和是的所有特征值,所以,和也是的所有特征值.根据特征值的性质,,和是的所有特征值,从而.25、算一下行列式的值设,,求。习题汇总:(一)一、单项选择题1.若A为4阶方阵,且|A|=5,则|3A|=()。A.15B.60C.405D.452.设A和B都是n阶矩阵,且|A+AB|=0,则有()。A.|A|=0B.|E+B|=0C.|A|=0或|E+B|=0D.|A|=0且|E+B|=03.若C=AB,则()。A.A与B的阶数相同;B.A与B的行数相同;C.A与B的列数相同;D.C与A的行数相同。二、计算题4.计算行列式D=。5.计算4阶行列式。6.计算行列式。7.计算行列式D=。三、填空题8.9.排列36i15j84在i=_____,j=______时是奇排列。10.若,则x=______。11.行列式D=的转置行列式DT=______。12.8级排列36215784的逆序数为τ(36215784)=______。13.若行列式,则x=______。(二)一、单项选择题14.下列命题中正确的是()。A.任...

1、当您付费下载文档后,您只拥有了使用权限,并不意味着购买了版权,文档只能用于自身使用,不得用于其他商业用途(如 [转卖]进行直接盈利或[编辑后售卖]进行间接盈利)。
2、本站所有内容均由合作方或网友上传,本站不对文档的完整性、权威性及其观点立场正确性做任何保证或承诺!文档内容仅供研究参考,付费前请自行鉴别。
3、如文档内容存在违规,或者侵犯商业秘密、侵犯著作权等,请点击“违规举报”。

碎片内容

蜗牛文库的最新文档

二年级数学下册其中检测卷二年级数学下册其中检测卷附答案#期中测试卷.pdf
10.00金币
0下载
二年级数学下册期末质检卷(苏教版)二年级数学下册期末质检卷(苏教版)#期末复习 #期末测试卷 #二年级数学 #二年级数学下册#关注我持续更新小学知识.pdf
10.00金币
0下载
二年级数学下册期末混合运算专项练习二年级数学下册期末混合运算专项练习#二年级#二年级数学下册#关注我持续更新小学知识 #知识分享 #家长收藏孩子受益.pdf
10.00金币
1下载
二年级数学下册年月日三类周期问题解题方法二年级数学下册年月日三类周期问题解题方法#二年级#二年级数学下册#知识分享 #关注我持续更新小学知识 #家长收藏孩子受益.pdf
10.00金币
0下载
二年级数学下册解决问题专项训练二年级数学下册解决问题专项训练#专项训练#解决问题#二年级#二年级数学下册#知识分享.pdf
10.00金币
1下载
二年级数学下册还原问题二年级数学下册还原问题#二年级#二年级数学#关注我持续更新小学知识 #知识分享 #家长收藏孩子受益.pdf
10.00金币
1下载
二年级数学下册第六单元考试卷家长打印出来给孩子测试测试争取拿到高分!#小学二年级试卷分享 #二年级第六单考试数学 #第六单考试#二年级数学下册.pdf
10.00金币
0下载
二年级数学下册必背顺口溜口诀汇总二年级数学下册必背顺口溜口诀汇总#二年级#二年级数学下册 #知识分享 #家长收藏孩子受益 #关注我持续更新小学知识.pdf
10.00金币
0下载
二年级数学下册《重点难点思维题》两大问题解决技巧和方法巧算星期几解决周期问题还原问题强化思维训练老师精心整理家长可以打印出来给孩子练习#家长收藏孩子受益 #学霸秘籍 #思维训练 #二年级 #知识点总结.pdf
10.00金币
0下载
二年级数学下册 必背公式大全寒假提前背一背开学更轻松#二年级 #二年级数学 #二年级数学下册 #寒假充电计划 #公式.pdf
10.00金币
0下载
蜗牛文库+ 关注
实名认证
内容提供者

提供各种专业文档内容

确认删除?
QQ
  • QQ点击这里给我发消息
微信客服
  • 微信客服
回到顶部