电脑桌面
添加蜗牛文库到电脑桌面
安装后可以在桌面快捷访问

文科数学(一卷)答案THUSSAT9月测试.pdfVIP免费

文科数学(一卷)答案THUSSAT9月测试.pdf_第1页
文科数学(一卷)答案THUSSAT9月测试.pdf_第2页
文科数学(一卷)答案THUSSAT9月测试.pdf_第3页
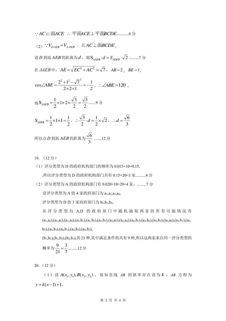
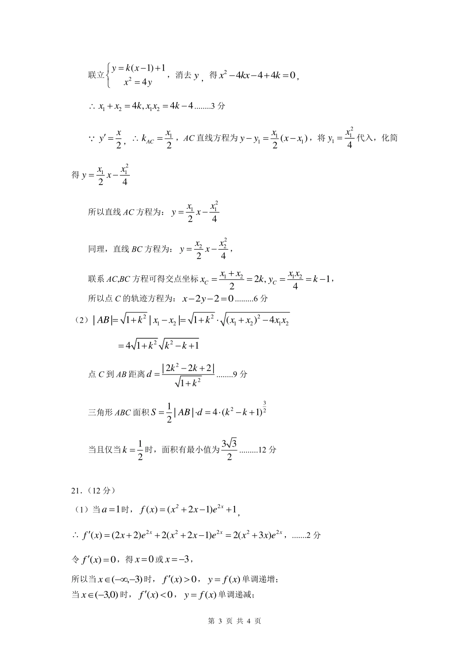
第1页共4页中学生标准学术能力诊断性测试2018年9月测试文科数学试卷参考答案一.选择题:本大题共12小题,每小题5分,共60分.在每小题给出的四个选项中,只有一项是符合题目要求的.1.B2.A3.C4.B5.C6.C7.C8.D9.A10.B11.C12.D二.填空题:本大题共4小题,每小题5分,共20分.13.()()22122=++−yx14.2523,15.32+16.()55,28三、解答题:共70分,解答应写出文字说明.证明过程或演算步骤,第17~21题为必考题,每个试题考生都必须作答,第22,23题为选考题,考生根据要求作答.(一)必考题:60分.17.(12分)(1)31=b,92=b,273=b..........3分(2)31331111=++=++=++nnnnnnaaaabb,}{nb是等比数列...........8分(3)由(2)可得nnb3=,13−=nna............12分18.(12分)(1)2CD=,1DEBE==,90CDEBED==,2BC=,2AB=,2AC=,BCAC⊥............2分平面ABC⊥平面BCDE,平面ABC平面BCDE=BC,AC平面ABC且BCAC⊥BCDEAC面⊥............4分第2页共4页ACACE面BCDEACE平面平面⊥............6分(2)A-DEBD-AEBVV=,且BCDEAC面⊥。设D到面AEB的距离为d,则2SAEB=DEBSd..........7分在ΔAEB中,722=+=ACECAE,2AB=,1BE=,21122712c222−=−+=ABEos,120ABE=,则23232121SAEB==.......9分EB11S1122D==,22123=d,36=d所以点D到面AEB的距离为36........12分19.(12分)(1)评分类型为D的政府机构部门的频率为0.015×10=0.15,所以评分类型为D的政府机构部门共有0.15×20=3家..........4分(2)评分类型为A的政府机构部门有0.020×10×20=4家,.........7分设评分类型为A的4家政府部门为a1,a2,a3,a4,评分类型为D的3家政府部门为b1,b2,b3,从评分类型为A,D的政府部门中随机抽取两家的所有可能情况有(a1,a2),(a1,a3),(a1,a4),(a1,b1),(a1,b2),(a1,b3),(a2,a3),(a2,a4),(a2,b1),(a2,b2),(a2,b3),(a3,a4),(a3,b1),(a3,b2),(a3,b3),(a4,b1),(a4,b2),(a4,b3),(b1,b2),(b1,b3),(b2,b3),共21种,其中满足条件的共有9种,所以这两家来自同一评分类型的概率为73219=.........12分20.(12分)(1)设1122(,),(,)AxyBxy,易知直线AB的斜率存在设为k,AB方程为(1)1ykx=−+,第3页共4页联立2(1)14ykxxy=−+=,消去y,得24440xkxk−−+=,12124,44xxkxxk+==−........3分2xy=,12ACxk=,AC直线方程为111()2xyyxx−=−,将2114xy=代入,化简得21124xxyx=−所以直线AC方程为:21124xxyx...

1、当您付费下载文档后,您只拥有了使用权限,并不意味着购买了版权,文档只能用于自身使用,不得用于其他商业用途(如 [转卖]进行直接盈利或[编辑后售卖]进行间接盈利)。
2、本站所有内容均由合作方或网友上传,本站不对文档的完整性、权威性及其观点立场正确性做任何保证或承诺!文档内容仅供研究参考,付费前请自行鉴别。
3、如文档内容存在违规,或者侵犯商业秘密、侵犯著作权等,请点击“违规举报”。

碎片内容

蜗牛文库的最新文档

二年级数学下册其中检测卷二年级数学下册其中检测卷附答案#期中测试卷.pdf
10.00金币
0下载
二年级数学下册期末质检卷(苏教版)二年级数学下册期末质检卷(苏教版)#期末复习 #期末测试卷 #二年级数学 #二年级数学下册#关注我持续更新小学知识.pdf
10.00金币
0下载
二年级数学下册期末混合运算专项练习二年级数学下册期末混合运算专项练习#二年级#二年级数学下册#关注我持续更新小学知识 #知识分享 #家长收藏孩子受益.pdf
10.00金币
1下载
二年级数学下册年月日三类周期问题解题方法二年级数学下册年月日三类周期问题解题方法#二年级#二年级数学下册#知识分享 #关注我持续更新小学知识 #家长收藏孩子受益.pdf
10.00金币
0下载
二年级数学下册解决问题专项训练二年级数学下册解决问题专项训练#专项训练#解决问题#二年级#二年级数学下册#知识分享.pdf
10.00金币
1下载
二年级数学下册还原问题二年级数学下册还原问题#二年级#二年级数学#关注我持续更新小学知识 #知识分享 #家长收藏孩子受益.pdf
10.00金币
1下载
二年级数学下册第六单元考试卷家长打印出来给孩子测试测试争取拿到高分!#小学二年级试卷分享 #二年级第六单考试数学 #第六单考试#二年级数学下册.pdf
10.00金币
0下载
二年级数学下册必背顺口溜口诀汇总二年级数学下册必背顺口溜口诀汇总#二年级#二年级数学下册 #知识分享 #家长收藏孩子受益 #关注我持续更新小学知识.pdf
10.00金币
0下载
二年级数学下册《重点难点思维题》两大问题解决技巧和方法巧算星期几解决周期问题还原问题强化思维训练老师精心整理家长可以打印出来给孩子练习#家长收藏孩子受益 #学霸秘籍 #思维训练 #二年级 #知识点总结.pdf
10.00金币
0下载
二年级数学下册 必背公式大全寒假提前背一背开学更轻松#二年级 #二年级数学 #二年级数学下册 #寒假充电计划 #公式.pdf
10.00金币
0下载
蜗牛文库+ 关注
实名认证
内容提供者

提供各种专业文档内容

确认删除?
QQ
  • QQ点击这里给我发消息
微信客服
  • 微信客服
回到顶部