电脑桌面
添加蜗牛文库到电脑桌面
安装后可以在桌面快捷访问

个体化给药(精).pptxVIP免费

个体化给药(精).pptx个体化给药(精).pptx个体化给药(精).pptx个体化给药(精).pptx个体化给药(精).pptx
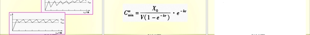
个体化给药方案设计Designofindividualizeddrugdosageregimes第一页,共一百零四页。概述稳态一点法设计给药方案生物半衰期与给药方案设计平均稳态血药浓度与给药方案设计稳态血药浓度与给药方案设计非线性药物动力学给药方案设计肾功能减退患者给药方案设计药物基因组学特殊人群第二页,共一百零四页。1.什么是个体化给药方案给药方案个体化犹如“量体裁衣〞,是针对个体病人,通过治疗药物监测,利用临床药物动力学的原理和方法,结合临床实践,制定个体患者的最适给药途径、最佳答案给药剂型、给药剂量和给药周期,使给药后药物浓度能够维持在“治疗窗口〞之内,获得最佳答案疗效,减少或防止不良反响的产生,提高临床药物使用的平安性和有效性。一概述第三页,共一百零四页。目前创新药物上市速度加快、层出不尽,药物剂型更是日新月异。据统计,目前国际上现有原料药品约4500余种,并且每年平均增加20-30种。药物品种日益增加,但临床药物治疗水平在某些方面并没有随着药品品种的增加而有较大提高,由于滥用或不合理用药,医药开支日益增大,临床不断出现严重的医疗事故或引起药源性疾病。2.实现个体化给药的必要性第四页,共一百零四页。药物治疗的推荐剂量多系群体平均剂量,事实上,只有少数平安、低毒的药物按照既定的平均剂量给药,能使用药者获得满意的疗效。有些药物给予相同剂量后,往往只有局部患者疗效满意;另外一些患者或因剂量缺乏疗效不佳,或因药量过大而出现不良反响,甚至引起中毒。造成上述现象的原因有患者自身和药物两个方面。第五页,共一百零四页。药效和药代个体差异种族差异生理因素(年龄、性别、妊娠、哺乳等)遗传因素(基因变异导致药动学和药效学遗传多态性)病理因素(各种疾病)环境因素(药物、外源性物质、吸烟、营养、乙醇和气候等)第六页,共一百零四页。明确诊断选择药物与给药途径确定给药方案包括剂型、剂量、给药间隔和疗程实施给药方案观察临床效果血药浓度监测〔TDM)处理数据、求出动力学参数。必要时,根据新的参数重新确定给药方案3.个体化给药方案制定步骤第七页,共一百零四页。4.实现个体化给药的方法①血药浓度监测〔Therapeaticdrugmonitoring,TDM)适用于血药浓度与药效相关的药物第八页,共一百零四页。第九页,共一百零四页。治疗药物监测的指征在临床上并非所有药物都需进行治疗药物监测。对于毒性小且有效治疗浓度范围很大的药物,亦无需进行血药浓度测定。第十页,共一百零...

1、当您付费下载文档后,您只拥有了使用权限,并不意味着购买了版权,文档只能用于自身使用,不得用于其他商业用途(如 [转卖]进行直接盈利或[编辑后售卖]进行间接盈利)。
2、本站所有内容均由合作方或网友上传,本站不对文档的完整性、权威性及其观点立场正确性做任何保证或承诺!文档内容仅供研究参考,付费前请自行鉴别。
3、如文档内容存在违规,或者侵犯商业秘密、侵犯著作权等,请点击“违规举报”。

碎片内容

蜗牛文库的最新文档

二年级数学下册其中检测卷二年级数学下册其中检测卷附答案#期中测试卷.pdf
10.00金币
0下载
二年级数学下册期末质检卷(苏教版)二年级数学下册期末质检卷(苏教版)#期末复习 #期末测试卷 #二年级数学 #二年级数学下册#关注我持续更新小学知识.pdf
10.00金币
0下载
二年级数学下册期末混合运算专项练习二年级数学下册期末混合运算专项练习#二年级#二年级数学下册#关注我持续更新小学知识 #知识分享 #家长收藏孩子受益.pdf
10.00金币
1下载
二年级数学下册年月日三类周期问题解题方法二年级数学下册年月日三类周期问题解题方法#二年级#二年级数学下册#知识分享 #关注我持续更新小学知识 #家长收藏孩子受益.pdf
10.00金币
0下载
二年级数学下册解决问题专项训练二年级数学下册解决问题专项训练#专项训练#解决问题#二年级#二年级数学下册#知识分享.pdf
10.00金币
1下载
二年级数学下册还原问题二年级数学下册还原问题#二年级#二年级数学#关注我持续更新小学知识 #知识分享 #家长收藏孩子受益.pdf
10.00金币
1下载
二年级数学下册第六单元考试卷家长打印出来给孩子测试测试争取拿到高分!#小学二年级试卷分享 #二年级第六单考试数学 #第六单考试#二年级数学下册.pdf
10.00金币
0下载
二年级数学下册必背顺口溜口诀汇总二年级数学下册必背顺口溜口诀汇总#二年级#二年级数学下册 #知识分享 #家长收藏孩子受益 #关注我持续更新小学知识.pdf
10.00金币
0下载
二年级数学下册《重点难点思维题》两大问题解决技巧和方法巧算星期几解决周期问题还原问题强化思维训练老师精心整理家长可以打印出来给孩子练习#家长收藏孩子受益 #学霸秘籍 #思维训练 #二年级 #知识点总结.pdf
10.00金币
0下载
二年级数学下册 必背公式大全寒假提前背一背开学更轻松#二年级 #二年级数学 #二年级数学下册 #寒假充电计划 #公式.pdf
10.00金币
0下载
蜗牛文库+ 关注
实名认证
内容提供者

提供各种专业文档内容

确认删除?
QQ
  • QQ点击这里给我发消息
微信客服
  • 微信客服
回到顶部