电脑桌面
添加蜗牛文库到电脑桌面
安装后可以在桌面快捷访问

2013年北京科技大学有机化学B考研真题.pdfVIP免费

2013年北京科技大学有机化学B考研真题.pdf_第1页
2013年北京科技大学有机化学B考研真题.pdf_第2页
2013年北京科技大学有机化学B考研真题.pdf_第3页
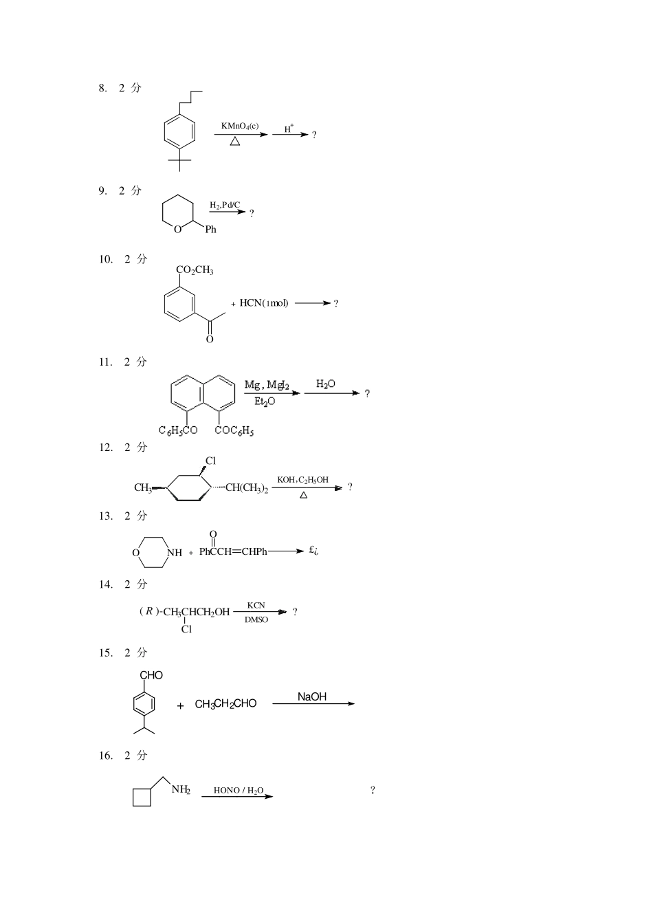
北京科技大学2013年硕士学位研究生入学考试试题=============================================================================================================试题编号:835试题名称:有机化学B(共5页)适用专业:化学说明:所有答案必须写在答题纸上,做在试题或草稿纸上无效。=============================================================================================================一、完成下列反应(共28题60分)1.2分2.2分NO2O2NCCOOHO2NNO2Cl()3.2分4.2分5.2分6.2分COOHCCHCH2HHCOOHCOOH++HOOC?CO27.2分?EtONaClNCH3OCHPhCNO2NBrNBrCH3??Br2/CHCl3H3COHCH3CH2CH2CH2CH2Cl?AlCl3Me2CCNHCH3CH3C6H5C6H5O-8.2分9.2分10.2分11.2分12.2分13.2分14.2分15.2分CH2CH3CHONaOHCHO+16.2分?KMnO4(c)H+?CO2CH3O+HCN(mol)?1,KOHC2H5OHCH3ClCH(CH3)2?NHO+PhCCHOCHPh£¿?DMSOKCNCH3CHCH2OHCl()-RHONO/H2ONH2OPhH2,Pd/C?17.2分18.2分19.2分20.2分21.2分22.2分23.2分24.2分25.2分26.2分(2)H3O+(1)Et2OLiAlH4+Br??HOCH2CH2OH+COCH3¸ÉHClH2SO4NHOCH2C6H5??NaCN2PCl5OHOH21)KI)HCl,H2O,NaNO2?NH2Br?OCH2CO2H+NaBH4(¹ýÁ¿)?D2OMgEt2OBr,ClCH2CH2CH2CH2Cl+Na2S?(C4H8S)O+HCl?27.4分28.4分二、由指定原料合成下列化合物(共5题30分)1.6分用氯苯、环氧乙烷、环己酮合成:2.6分如何完成下列转变?NHCOOHCCOOI__3.8分如何实现下列转变?4.6分由乙烯出发合成HOCH2CH2OCH2CH2OCH2CH2OH。5.4分用两个碳的化合物合成三、由已知条件推测下列化合物结构(共5题30分)1.6分用邻硝基氟苯和丙二酸二乙酯为原料进行下列多步合成,试写出A~D的结构。H2ONaOH??CH3CO-Na+O18+CH3CH2CH2CBrHDCH2CH2OH(CH3)3CCOCH3OC(CH3)3DC8H7NOCC8H9NO2H2/PdBC8H7NO4HCl/NaOH/H2O(2)(1)AEtOHEtONaCH2(CO2Et)2+FNO22.4分某化合物A,分子式为C4H4Cl6,A无光学活性,在碱性条件下水解后酸化得到一个二酸。A的NMR谱只显示一个单峰,δH=2.6ppm,试推测A的结构式。3.8分某旋光化合物A,分子式为C5H13N,溶于稀HCl,加入NaNO2后得无色液体B(C5H12O)。B可以被分离成有旋光的异构体。B用KMnO4氧化得C(C5H10O)。C则不能被分离成有旋光的异构体。B和C经碘仿反应后都得到异丁酸。试推测A,B,C的结构式。4.6分化合物A(C9H10),其NMR:δ/:2.3(单峰,3H);5.0(多重峰,3H);7.0(多重峰,4H),A经臭氧化后再用H2O2处理,得到化合物B,B的NMR:δ/:2.3(单峰,3H);7.2(多重峰,4H);12.0(单峰,1H),B经氧化后得C,分子式...

1、当您付费下载文档后,您只拥有了使用权限,并不意味着购买了版权,文档只能用于自身使用,不得用于其他商业用途(如 [转卖]进行直接盈利或[编辑后售卖]进行间接盈利)。
2、本站所有内容均由合作方或网友上传,本站不对文档的完整性、权威性及其观点立场正确性做任何保证或承诺!文档内容仅供研究参考,付费前请自行鉴别。
3、如文档内容存在违规,或者侵犯商业秘密、侵犯著作权等,请点击“违规举报”。

碎片内容

蜗牛文库的最新文档

二年级数学下册其中检测卷二年级数学下册其中检测卷附答案#期中测试卷.pdf
10.00金币
0下载
二年级数学下册期末质检卷(苏教版)二年级数学下册期末质检卷(苏教版)#期末复习 #期末测试卷 #二年级数学 #二年级数学下册#关注我持续更新小学知识.pdf
10.00金币
0下载
二年级数学下册期末混合运算专项练习二年级数学下册期末混合运算专项练习#二年级#二年级数学下册#关注我持续更新小学知识 #知识分享 #家长收藏孩子受益.pdf
10.00金币
1下载
二年级数学下册年月日三类周期问题解题方法二年级数学下册年月日三类周期问题解题方法#二年级#二年级数学下册#知识分享 #关注我持续更新小学知识 #家长收藏孩子受益.pdf
10.00金币
0下载
二年级数学下册解决问题专项训练二年级数学下册解决问题专项训练#专项训练#解决问题#二年级#二年级数学下册#知识分享.pdf
10.00金币
1下载
二年级数学下册还原问题二年级数学下册还原问题#二年级#二年级数学#关注我持续更新小学知识 #知识分享 #家长收藏孩子受益.pdf
10.00金币
1下载
二年级数学下册第六单元考试卷家长打印出来给孩子测试测试争取拿到高分!#小学二年级试卷分享 #二年级第六单考试数学 #第六单考试#二年级数学下册.pdf
10.00金币
0下载
二年级数学下册必背顺口溜口诀汇总二年级数学下册必背顺口溜口诀汇总#二年级#二年级数学下册 #知识分享 #家长收藏孩子受益 #关注我持续更新小学知识.pdf
10.00金币
0下载
二年级数学下册《重点难点思维题》两大问题解决技巧和方法巧算星期几解决周期问题还原问题强化思维训练老师精心整理家长可以打印出来给孩子练习#家长收藏孩子受益 #学霸秘籍 #思维训练 #二年级 #知识点总结.pdf
10.00金币
0下载
二年级数学下册 必背公式大全寒假提前背一背开学更轻松#二年级 #二年级数学 #二年级数学下册 #寒假充电计划 #公式.pdf
10.00金币
0下载
蜗牛文库+ 关注
实名认证
内容提供者

提供各种专业文档内容

确认删除?
QQ
  • QQ点击这里给我发消息
微信客服
  • 微信客服
回到顶部